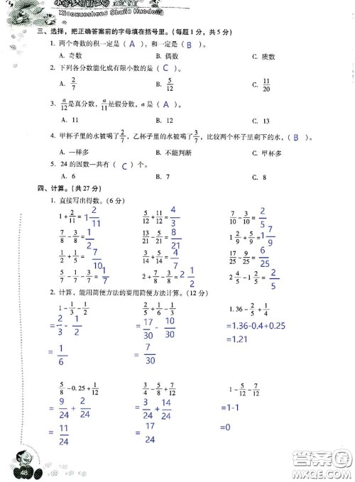
晨光出版社2020年小学生暑假活动五年级数学人教版参考答案已经和同学们分享,更新到的是五年级数学学科人教版的答案,做完习题不妨来对对答案,有做错的题目及时修改,答案如下。

ISBN:9787559916044,书名:小学生暑假活动,学科:五年级数学,版本:人教版,出版社:晨光出版社











































北京教育出版社2020年新课堂暑假生活八年级道德与法治人教版答案
2020-08-31 09:20:44
北京教育出版社2020年新课堂暑假生活八年级道德与法治人教版答案小编已经收集整理好了,做完了之后可以来检查一下,看看自己做的对不对吧,不要直接照抄答案哦!北京教育出版社2020
教育科学出版社2020年暑假作业五年级数学通用版答案
2020-08-31 09:10:22
教育科学出版社2020年暑假作业五年级数学通用版答案小编已经收集整理好了,做完了之后可以来检查一下,看看自己做的对不对吧,不要直接照抄答案哦!教育科学出版社2020年暑假作业五
南方出版社2020年暑假课程练习三年级数学人教版参考答案
2020-08-31 09:09:59
南方出版社2020年暑假课程练习三年级数学人教版参考答案已经更新啦,暑假课程练习系列答案小编已经整理了很多,同学们做完习题不妨来对对答案,答案如下,仅供参考。南方出版社2020
人民教育出版社2020年暑假作业七年级语文人教版参考答案
2020-08-31 08:36:57
人民教育出版社2020年暑假作业七年级语文人教版参考答案已经分享给大家,更新到的是语文学科人教版的答案,使用这个版本的同学做完作业不妨来对对答案,答案如下,仅供参考。人民教