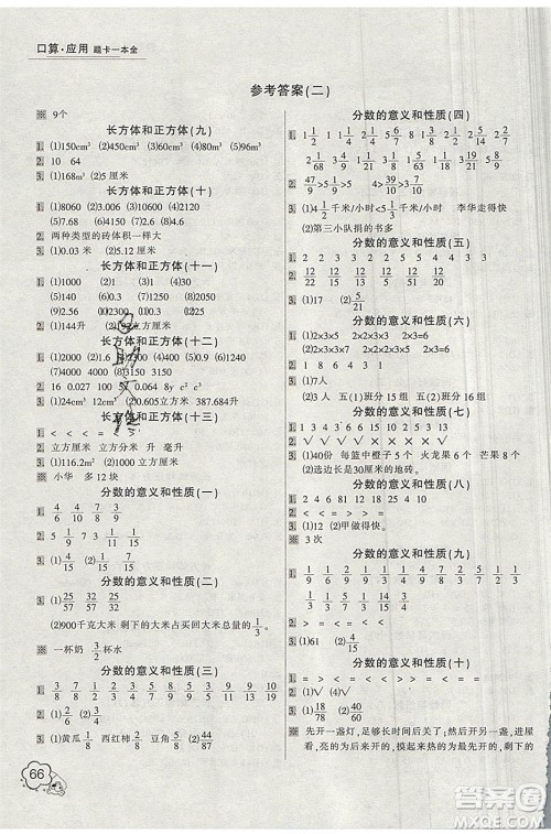
2019年小学生口算应用题卡一本全五年级下册RJ人教版参考答案小编已经收集整理好了,需要核对的伙伴来答案圈看看

本书系列的其他年级和科目答案小编也有收集整理,大家可以在答案圈对应的年级搜索查看




2020年王朝霞培优100分语文五年级下册RJ人教版参考答案
2020-05-08 13:42:00
王朝霞培优100分语文五年级下册RJ人教版参考答案小编已经整理在答案圈,练习完的伙伴可以来核对看看哦!王朝霞培优100分语文五年级下册RJ人教版参考答案本书系列的其他年级和
2020年王朝霞培优100分数学五年级下册RJ人教版参考答案
2020-05-08 13:31:13
2020年王朝霞培优100分数学五年级下册RJ人教版参考答案小编已经整理在答案圈,练习完的伙伴可以来核对看看哦!2020年王朝霞培优100分数学五年级下册RJ人教版参考答案本书系列
2020年王朝霞创维新课堂同步优化训练语文五年级下册RJ人教版参考答案
2020-04-30 09:37:13
2020年王朝霞创维新课堂同步优化训练语文五年级下册RJ人教版参考答案小编整理在答案圈了,练习完得伙伴记得来核对一下看看自己对每天学习得知识掌握的怎么样2020年王朝霞创维
2020年王朝霞创维新课堂同步优化训练数学五年级下册RJ人教版参考答案
2020-04-30 09:12:39
2020年王朝霞创维新课堂同步优化训练数学五年级下册RJ人教版参考答案小编整理在答案圈了,练习完得伙伴记得来核对一下看看自己对每天学习得知识掌握的怎么样2020年王朝霞创维