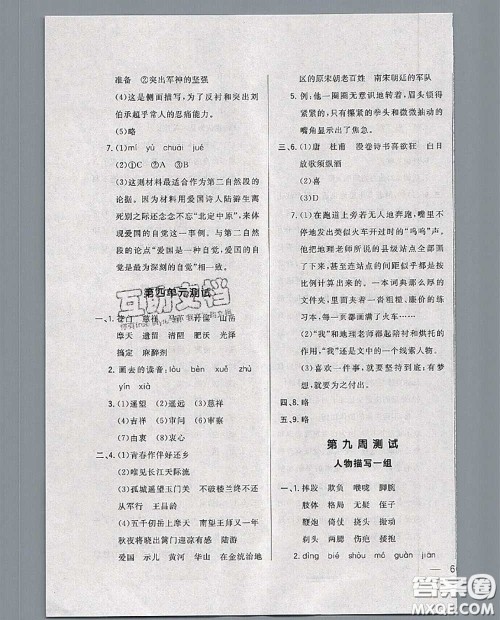
跃然好学生周周测系列下学期答案小编已经整理了很多,2020新版悦然好学生周周测五年级语文下册人教版答案已经分享给大家,同学们做完习题不妨来对对答案,答案如下。

书名:悦然好学生周周测,学科:五年级语文,版本:人教版,出版社:吉林教育出版社



















2020年长江作业本同步练习生物学八年级下册人教版参考答案
2020-06-03 11:40:05
2020年长江作业本同步练习生物学八年级下册人教版参考答案小编已经收集整理好了,大家需要的可以来答案圈看看2020年长江作业本同步练习生物学八年级下册人教版参考答案本书系
2020新版悦然好学生周周测五年级数学下册北师版答案
2020-06-03 11:37:26
2020新版悦然好学生周周测五年级数学下册北师版答案更新啦,悦然好学生周周测系列下学期答案小编已经整理了很多,同学们可以根据自己的需要搜索查看,答案如下。2020新版悦然好学
2020年长江作业本同步练习道德与法治八年级下册人教版参考答案
2020-06-03 11:25:53
2020年长江作业本同步练习道德与法治八年级下册人教版参考答案小编已经收集整理好了,大家需要的可以来答案圈看看2020年长江作业本同步练习道德与法治八年级下册人教版参考答
2020新版悦然好学生周周测五年级数学下册人教版答案
2020-06-03 11:20:11
悦然好学生周周测系列小编已经开始更新啦,2020新版悦然好学生周周测五年级数学下册人教版答案已经和同学们分享,做完习题不妨来对对答案吧,答案如下,仅供参考。
2020悦然好学生周周测系列答案