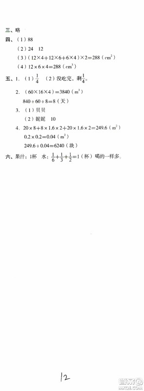
湘教考苑单元测试卷五年级数学下册人教版的答案小编已经收集整理好了,做完了的可以来检查一下,看看自己做的对不对,不要直接照抄答案,其他学科的和其他年级的也有,直接站内搜书名吧!

答案如下,仅供参考!












湖南教育出版社2020湘教考苑单元测试卷五年级语文下册人教版答案
2020-05-27 14:52:54
小编这次收集整理的湘教考苑单元测试卷五年级语文下册人教版的答案小编已经收集整理好了,做完了之后可以来检查一下,看看自己做的对不对,不要直接照抄答案哦!湖南教育出版社2020
湖南教育出版社2020湘教考苑单元测试卷六年级语文下册人教版答案
2020-05-27 14:38:39
小编这次收集整理的是2020湘教考苑单元测试卷六年级语文下册人教版的答案,使用这本练习册的可以来检查一下,看看自己做的对不对,不要直接照抄答案哦!湖南教育出版社2020湘教考苑
湖南教育出版社2020湘教考苑单元测试卷六年级数学下册人教版答案
2020-05-27 14:28:41
小编这次收集整理的是2020湘教考苑单元测试卷六年级数学下册人教版的答案,使用这本练习册的可以来检查一下,看看自己做的对不对吧,不要直接照抄答案哦!湖南教育出版社2020湘教考
希望出版社2020全程检测单元测试卷六年级数学下册A版答案
2020-05-27 14:11:21
小编这次收集整理的是2020全程检测单元测试卷六年级数学下册A版的答案,使用这本练习册的可以来检查一下,看看自己做的对不对,这个系列的小编也有收集整理,直接站内搜书名吧!希望
湖南教育出版社系列答案