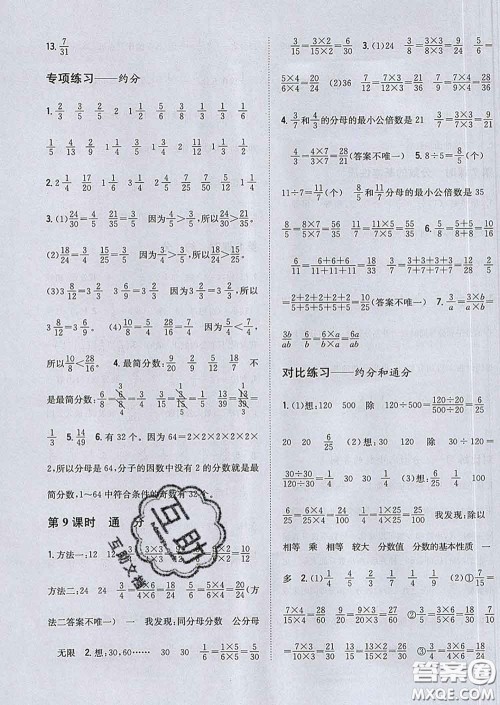
小编整理了2020春梓耕书系小学题帮五年级数学下册江苏版答案,其他版本的答案小编也已经更新,尽在答案圈,大家可以根据自己的需要搜索查看,参考的时候注意答案中部分题目的答案不唯一哟。

书名:小学题帮,学科:五年级数学,版本:江苏版,出版社:吉林人民出版社























2020春梓耕书系小学题帮六年级数学下册人教版答案
2020-02-16 12:44:07
2020春梓耕书系小学题帮六年级数学下册人教版答案更新啦,使用小学题帮系列的小朋友赶紧来看看吧,各个年级各个学科的答案小编都已经整理好,会陆续和大家分享,大家在参考的时候注
2020春梓耕书系小学题帮六年级数学下册青岛版答案
2020-02-16 12:44:03
2020春梓耕书系小学题帮六年级数学下册青岛版答案已经和大家分享,小学题帮系列答案小编已经整理好,会陆续和大家分享,大家在参考的时候注意版本,答案如下,仅供参考。2020春梓耕书
2020春梓耕书系小学题帮六年级数学下册冀教版答案
2020-02-16 12:43:59
今天更新到的是2020春梓耕书系小学题帮六年级数学下册冀教版答案,其他版本答案大家需要的话可以在答案圈中搜索,小编都有更新,在参考的时候注意答案中部分题目答案不唯一,答案仅
2020春梓耕书系小学题帮四年级数学下册冀教版答案
2020-02-16 12:41:13
2020春梓耕书系小学题帮四年级数学下册冀教版答案已经更新啦,小学题帮系列答案小编已经全部整理好了,会陆续和大家分享,大家可以根据自己的需要搜索查看,答案如下。2020春梓耕书
2020梓耕书系小学题帮系列答案