首页小学初中高中专题
当前位置:首页 > 小学答案网 > 五年级答案

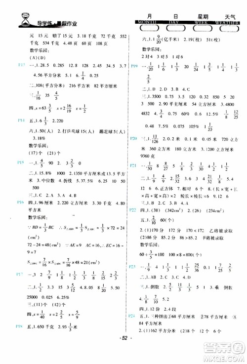
北师版2019年导学练暑假作业B数学五年级参考答案

时间:2019-07-12 10:56:10    作者:答案圈
标签:

这次小编整理的是导学练暑假作业答案,本系列辅导教材是结合义务教育教科书编写,针对假期学习的辅导练习,需要核对答案的伙伴来答案圈查看吧5gB答案圈

北师版2019年导学练暑假作业B数学五年级参考答案5gB答案圈

2019年导学练暑假作业B科学人教版五年级参考答案

出版社:云南教育出版社,出版时间:2019.55gB答案圈

北师版2019年导学练暑假作业B数学五年级参考答案5gB答案圈

北师版2019年导学练暑假作业B数学五年级参考答案5gB答案圈

北师版2019年导学练暑假作业B数学五年级参考答案5gB答案圈

北师版2019年导学练暑假作业B数学五年级参考答案5gB答案圈

查看更多答案
相关文章
人教版2019年导学练暑假作业B数学五年级参考答案 2019-07-12 09:11:22

人教版2019年导学练暑假作业B数学五年级参考答案小编已经收集整理好了,需要核对参考的伙伴注意查看哦人教版2019年导学练暑假作业B数学五年级参考答案出版社:云南教育出版社,出

专题推荐

2025年春顶尖课课练下册系列答案

2025黄冈小状元作业本下册答案

2025精彩练习就练这一本系列答案

2025金学典同步解析与测评学练考答案

2024年春一课一练创新练习下册系列答案

2024年高三联考试卷汇总

相关专题
2019导学练暑假作业系列答案
课后作业答案
数学
语文
英语
其他
网友留言
最新更新
2025小学生数学报五年级第2382期答案
小学生数学报答案 小学生数学报 小学数学报
广西教育出版社2025年春自主学习能力测评五年级语文下册通用版答案
2025自主学习能力测评答案 自主学习能力测评 自主学习能力测评答案 五年级语文答案 五年级语文下册答案
广西教育出版社2025年春自主学习能力测评五年级数学下册苏教版答案
2025自主学习能力测评答案 自主学习能力测评 自主学习能力测评答案 五年级数学答案 五年级数学下册答案
广西教育出版社2025年春自主学习能力测评五年级数学下册北师大版答案
2025自主学习能力测评答案 自主学习能力测评 自主学习能力测评答案 五年级数学答案 五年级数学下册答案