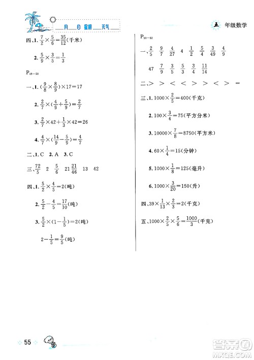
数学这门学科在五年级难度会有所增加,同学们在假期要通过训练来总结薄弱知识,今天小编为同学们整理了延边人民出版社2024年春优秀生快乐假期每一天全新暑假作业本五年级数学人教版答案,练习完的同学可以来答案圈核对一下答案。

答案如下,仅供参考:



延边人民出版社2024年春优秀生快乐假期每一天全新暑假作业本三年级英语外研版答案
2024-07-09 08:52:07
三年级各学科难度其实并不大,主要培养同学们好的学习习惯,让同学们掌握好知识,今天小编为同学们整理了延边人民出版社2024年春优秀生快乐假期每一天全新暑假作业本三年级英语外
延边人民出版社2024年春优秀生快乐假期每一天全新暑假作业本四年级英语外研版答案
2024-07-09 08:50:43
英语这门学科在四年级难度不小,同学们在假期要多花时间,通过训练来掌握好知识,今天小编为同学们整理了延边人民出版社2024年春优秀生快乐假期每一天全新暑假作业本四年级英语外
延边人民出版社2024年春优秀生快乐假期每一天全新暑假作业本五年级英语外研版答案
2024-07-09 08:48:53
英语这门学科需要同学们多记单词多做练习,通过练习巩固基础知识,拓展不同的题型,今天小编为同学们整理了延边人民出版社2024年春优秀生快乐假期每一天全新暑假作业本五年级英语
宁夏人民教育出版社2024年春经纶学霸学霸的暑假计算暑假大通关四升五年级数学苏教版答案
2024-07-08 17:44:16
今天小编为同学们整理了宁夏人民教育出版社2024年春经纶学霸学霸的暑假计算暑假大通关四升五年级数学苏教版答案,本练习帮助同学们对所学知识进行巩固复习,通过练习同学们可以