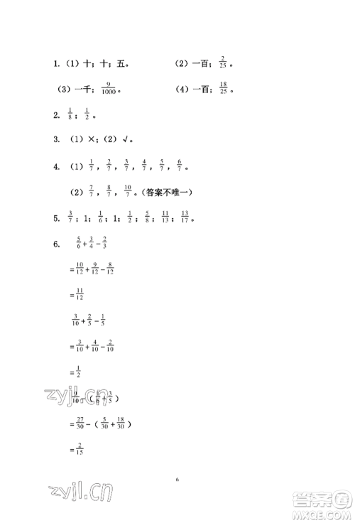
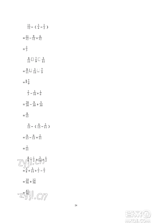
安徽少年儿童出版社2022暑假作业五年级数学人教版参考答案小编已经为大家收集整理好了,本书是安徽少年儿童出版社出版设计,如果你对这本书感兴趣的话,可以试着做做习题,希望会对你有所帮助,不过核对答案的时候,不要抄答案哦!

答案如下:


















































安徽少年儿童出版社2022暑假作业五年级语文人教版参考答案
2022-06-30 11:31:33
安徽少年儿童出版社2022暑假作业五年级语文人教版参考答案小编已经为大家收集整理好了,本书是安徽少年儿童出版社出版设计,本书便于学生形成系统化的知识体系,及迅速提高自己的
安徽少年儿童出版社2022暑假作业五年级英语人教版参考答案
2022-06-30 11:10:49
安徽少年儿童出版社2022暑假作业五年级英语人教版参考答案小编已经为大家收集整理好了,本书是安徽少年儿童出版社出版设计,本书针对五年级英语课上所学的各个知识点对学生进行
安徽少年儿童出版社2022暑假作业四年级数学北师大版参考答案
2022-06-30 10:52:42
安徽少年儿童出版社2022暑假作业四年级数学北师大版参考答案小编已经为大家收集整理好了,本书是安徽少年儿童出版社出版设计,喜欢本书练习的同学,可以到答案圈看看哦!安徽少年儿
安徽少年儿童出版社2022暑假作业四年级语文人教版参考答案
2022-06-30 10:33:51
安徽少年儿童出版社2022暑假作业四年级语文人教版参考答案小编已经为大家收集整理好了,本书是安徽少年儿童出版社出版设计,本书将阅读方法、解题方法、口语及书面表达方法巧妙