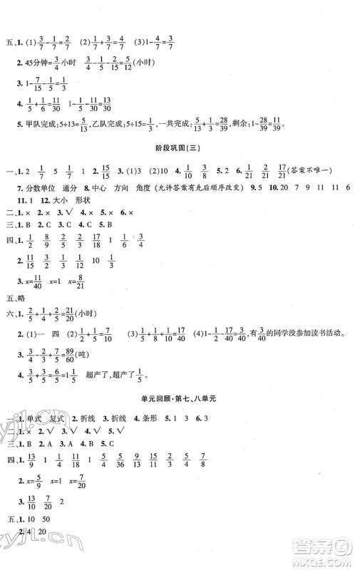
新疆青少年出版社2022优学1+1评价与测试五年级数学下册人教版答案小编为同学们整理好了,本书是由新疆青少年出版社出版发行,紧随教材知识点,同步巩固,专题训练,随时查漏补缺,系统化学习稳步提升,做完作业的小伙伴们快来答案圈看看自己做的怎么样吧!

参考答案下图所示,请同学们仔细核对。需要其他科目的参考资料,也可以在答案圈找到哦。












新疆青少年出版社2022优学1+1评价与测试五年级语文下册人教版答案
2022-06-08 14:14:14
新疆青少年出版社2022优学1+1评价与测试五年级语文下册人教版答案小编为同学们整理好了,本书是由新疆青少年出版社出版发行,习题基于课本知识,把知识点融合到题目中,通过课后练
新疆青少年出版社2022优学1+1评价与测试四年级英语下册人教版答案
2022-06-08 14:00:05
新疆青少年出版社2022优学1+1评价与测试四年级英语下册人教版答案小编为同学们整理好了,本书是由新疆青少年出版社出版发行,把教材中的重难点分布到不同的题型中,举一反三让同
新疆青少年出版社2022优学1+1评价与测试四年级数学下册人教版答案
2022-06-08 11:43:15
新疆青少年出版社2022优学1+1评价与测试四年级数学下册人教版答案小编为同学们整理好了,本书是由新疆青少年出版社出版发行,重视基础巩固,与教材紧密贴合,能很好地帮助学生理解
新疆青少年出版社2022优学1+1评价与测试四年级语文下册人教版答案
2022-06-08 11:28:45
新疆青少年出版社2022优学1+1评价与测试四年级语文下册人教版答案小编为同学们整理好了,本书是由新疆青少年出版社出版发行,紧扣教学内容,理清知识的纵横联系,归纳、攻克专题薄
评价与测试系列答案