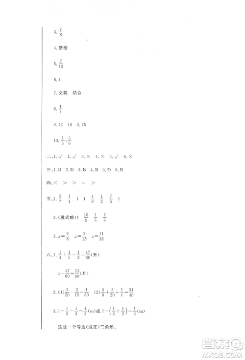
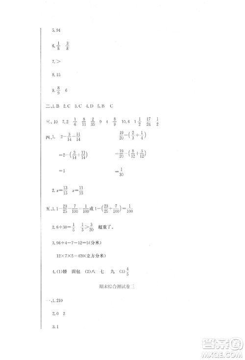
北京教育出版社2022提分教练优学导练测试卷五年级下册数学人教版参考答案小编已经为大家收集整理好了,本书是北京教育出版社出版,本书贴合数学教科书进行编写,从内容讲解到典题剖析,帮助学生更容易去理解知识点,同时教会了学生学习方法,达到了对学生核心素养的培养与提升,有兴趣的同学,可以到答案圈看看哦!

答案如下:




































北京教育出版社2022提分教练优学导练测试卷五年级下册语文人教版参考答案
2022-05-18 16:33:42
北京教育出版社2022提分教练优学导练测试卷五年级下册语文人教版参考答案小编已经为大家收集整理好了,本书是北京教育出版社出版设计,这本书帮助学生及时巩固新授课知识,夯实双
北京教育出版社2022提分教练优学导练测试卷四年级下册英语人教版参考答案
2022-05-18 16:23:02
北京教育出版社2022提分教练优学导练测试卷四年级下册英语人教版参考答案小编已经为大家收集整理好了,本书是北京教育出版社出版设计,本书按教材学习顺序合理地安排训练内容,每
北京教育出版社2022提分教练优学导练测试卷四年级下册数学人教版参考答案
2022-05-18 16:08:43
北京教育出版社2022提分教练优学导练测试卷四年级下册数学人教版参考答案小编已经为大家收集整理好了,本书是北京教育出版社出版设计,数学基础薄弱的小伙伴,可以试着做做本书的
北京教育出版社2022提分教练优学导练测试卷四年级下册语文人教版参考答案
2022-05-18 15:54:17
北京教育出版社2022提分教练优学导练测试卷四年级下册语文人教版参考答案小编已经整理好了,这本书是北京教育出版社出版设计,本书更好的总结了小学语文所会学习到的知识点,也记
2022提分教练下册系列答案