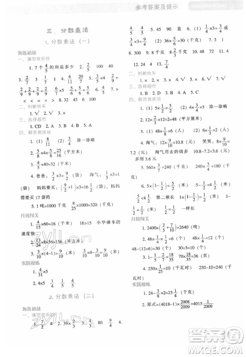
辽宁教育出版社2022尖子生题库数学五年级下册BS北师版答案小编已经收集整理好了,结合课堂教学和课外巩固全面的提高学习效率,针对地区教材编写更好的贴近地区教育考试特色,为学生打下良好的学习基础,需要的伙伴可以来答案圈核对答案!

本书系列的其他年级和科目的答案小编也有收集整理,大家可以根据自己使用的练习册在答案圈对应的年级搜索查看!



















辽宁教育出版社2022尖子生题库数学四年级下册BS北师版答案
2022-04-07 09:35:11
辽宁教育出版社2022尖子生题库数学四年级下册BS北师版答案小编已经收集整理好了,结合课堂教学和课外巩固全面的提高学习效率,针对地区教材编写更好的贴近地区教育考试特色,为学
辽宁教育出版社2022尖子生题库数学三年级下册BS北师版答案
2022-04-07 09:18:42
辽宁教育出版社2022尖子生题库数学三年级下册BS北师版答案小编已经收集整理好了,结合课堂教学和课外巩固全面的提高学习效率,针对地区教材编写更好的贴近地区教育考试特色,为学
辽宁教育出版社2022尖子生题库数学二年级下册BS北师版答案
2022-04-07 08:54:56
辽宁教育出版社2022尖子生题库数学二年级下册BS北师版答案小编已经收集整理好了,结合课堂教学和课外巩固全面的提高学习效率,针对地区教材编写更好的贴近地区教育考试特色,为学
辽宁教育出版社2022尖子生题库数学一年级下册BS北师版答案
2022-04-07 08:48:55
辽宁教育出版社2022尖子生题库数学一年级下册BS北师版答案小编已经收集整理好了,结合课堂教学和课外巩固全面的提高学习效率,针对地区教材编写更好的贴近地区教育考试特色,为学