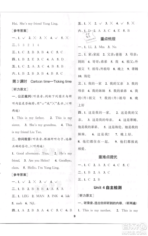
苏州大学出版社2021金钥匙1+1课时作业三年级上册英语江苏版参考答案小编已经为各位同学收集整理好了,本书是由苏州大学出版社出版设计,本书针对三年级英语对学生进行全面辅导,从英语基础对学生进行辅导,从而逐步提升学生成绩,喜欢本书的小伙伴,可以答案圈查阅参考哦!

答案如下:
























苏州大学出版社2021金钥匙1+1课时作业三年级上册语文全国版参考答案
2021-11-01 16:51:17
苏州大学出版社2021金钥匙1+1课时作业三年级上册语文全国版参考答案小编已经为各位同学收集整理好了,本书是由苏州大学出版社出版设计,本书帮助学生及时巩固新授课知识,夯实双
苏州大学出版社2021金钥匙1+1课时作业三年级上册数学江苏版参考答案
2021-11-01 16:38:18
苏州大学出版社2021金钥匙1+1课时作业三年级上册数学江苏版参考答案本书是由苏州大学出版社出版设计,本书是由苏州大学出版社出版设计,本书有全面系统的课时作业,还配有各章素
苏州大学出版社2021金钥匙1+1课时作业二年级上册语文全国版参考答案
2021-11-01 16:25:34
苏州大学出版社2021金钥匙1+1课时作业二年级上册语文全国版参考答案小编已经为各位同学收集整理好了,本书是由苏州大学出版社出版设计,本书将阅读方法、解题方法、口语及书面
苏州大学出版社2021金钥匙1+1课时作业二年级上册数学江苏版参考答案
2021-11-01 16:12:54
苏州大学出版社2021金钥匙1+1课时作业二年级上册数学江苏版参考答案小编已经为各位同学收集整理好了,本书是由苏州大学出版社出版设计,本书整合单元知识的重难点,同时设置例题
小学金钥匙1+1课时作业上册系列答案