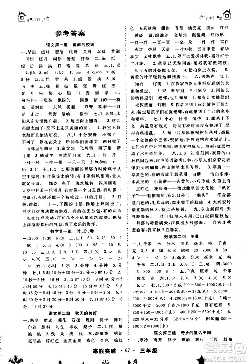
安徽人民出版社2021年寒假突破三年级通用版答案小编已经收集整理好了,需要核对参考的伙伴可以来答案圈看看

本书系列的其他年级和科目的答案小编也有整理收集,大家可以根据自己的需要在对应的年级搜索查看




安徽人民出版社2021年寒假突破六年级通用版答案
2021-01-20 14:07:26
安徽人民出版社2021年寒假突破六年级通用版答案小编已经收集整理好了,需要核对参考的伙伴可以来答案圈看看安徽人民出版社2021年寒假突破六年级通用版答案本书系列的其他年级
安徽人民出版社2021年寒假突破五年级通用版答案
2021-01-20 14:00:37
安徽人民出版社2021年寒假突破五年级通用版答案小编已经收集整理好了,需要核对参考的伙伴可以来答案圈看看安徽人民出版社2021年寒假突破五年级通用版答案本书系列的其他年级
安徽人民出版社2021年寒假突破八年级通用版答案
2021-01-20 13:43:35
安徽人民出版社2021年寒假突破八年级通用版答案小编已经收集整理好了,需要核对参考的伙伴可以来答案圈看看安徽人民出版社2021年寒假突破八年级通用版答案本书系列的其他年级
南京大学出版社2021年寒假接力棒数学小学三年级通用版答案
2021-01-15 16:17:18
南京大学出版社2021年寒假接力棒数学小学三年级通用版答案小编已经收集整理好了,需要核对参考的伙伴可以来答案圈看看南京大学出版社2021年寒假接力棒数学小学三年级通用版答