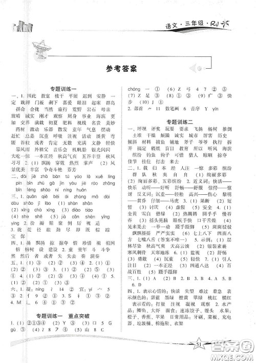
2021精巧寒假作业专题训练与期末总复习三年级语文人教版的答案小编收集整理如下,这个系列的还有其他学科的哦,直击站内搜书名就好了,不要照抄答案哦,做完了再来检查自己做对了多少吧!

答案如下,仅供参考!




云南美术出版社2021精巧寒假作业专题训练与期末总复习三年级数学人教版答案
2021-01-17 12:04:12
2021精巧寒假作业专题训练与期末总复习三年级数学人教版的答案小编收集整理好了,做完了之后可以来检查一下,看看自己做的对不对,不要照抄答案哦!云南美术出版社2021精巧寒假作业
云南科技出版社2022年智趣寒假作业三年级数学人教版答案
2021-01-15 11:36:53
2022年智趣寒假作业三年级数学人教版的答案小编收集整理如下,做完了之后可以来检查一下,看看自己做的对不对,不要照抄答案哦,其他学科的和其他年级的直接站内搜书名吧!云南科技出
云南科技出版社2022年智趣寒假作业三年级数学北师大版答案
2021-01-15 10:34:52
2022年智趣寒假作业三年级数学北师大版的答案小编收集整理好了,做完了之后可以来检查一下,看看自己做的对不对,不要照抄答案哦,其他学科的和其他年级的直接站内搜书名吧!云南科技
大连理工大学出版社2021假期伙伴寒假作业三年级数学北师大版答案
2021-01-08 14:14:35
小编这次收集整理的是大连理工大学出版社出版的2021假期伙伴寒假作业三年级数学北师大版的答案,做完了之后可以来检查一下,看看自己做的对不对吧,不要照抄答案哦!大连理工大学出
2021小学生寒假作业答案