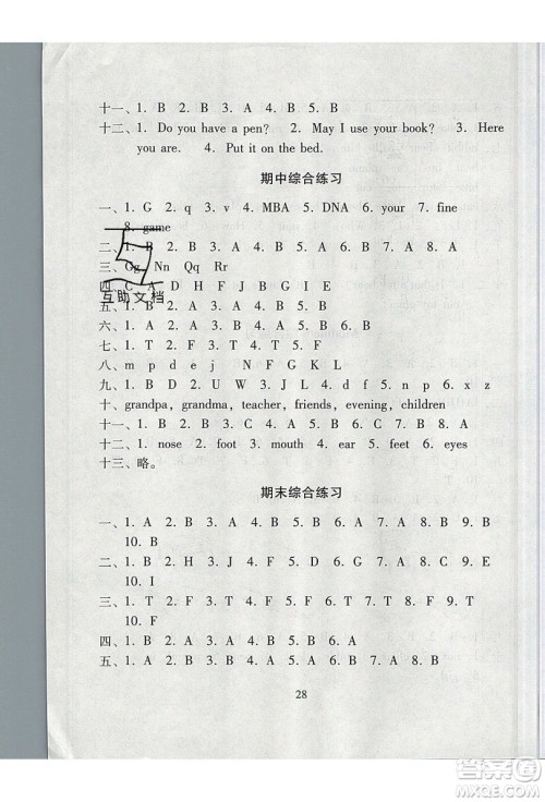
小编这次收集整理的是南方新课堂金牌学案三年级英语上册教育科学版的答案,使用这个版本的可以来答案圈了解一下,看看自己做对了没有!

ISBN编码9787554819647,作者广东教育出版社教学资源研发中心,出版社广东教育出版社













2019南方新课堂金牌学案三年级英语上册粤人民版答案
2019-08-14 14:49:36
小编这次手机收集整理的是2019南方新课堂金牌学案三年级上册英语粤人民版的答案,使用这套教辅的可以看看哦!2019南方新课堂金牌学案三年级英语上册粤人民版答案以下便是答案内
2019南方新课堂金牌学案三年级英语上册外研版答案
2019-08-14 14:26:44
2019年外研版的南方新课堂金牌学案英语三年级上册的参考答案小编已经收集整理了,感兴趣的可以来看看哦!2019南方新课堂金牌学案三年级英语上册外研版答案ISBN编号978754069676
2019南方新课堂金牌学案四年级英语上册粤人民版答案
2019-08-14 11:43:30
南方新课堂金牌学案四年级英语上册粤人民版答案小编已经收集整理好了,在做完之后可以来答案圈了解一下!2019南方新课堂金牌学案四年级英语上册粤人民版答案作者广东教育出版社
2019南方新课堂金牌学案四年级英语上册教育科学版答案
2019-08-14 11:35:11
小编这次收集整理的是南方新课堂金牌学案四年级英语上册教科版的答案,使用这个版本的可以来答案圈看看,其他版本的可以在答案圈内直接搜南方新课堂即可!2019南方新课堂金牌学案