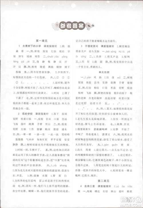
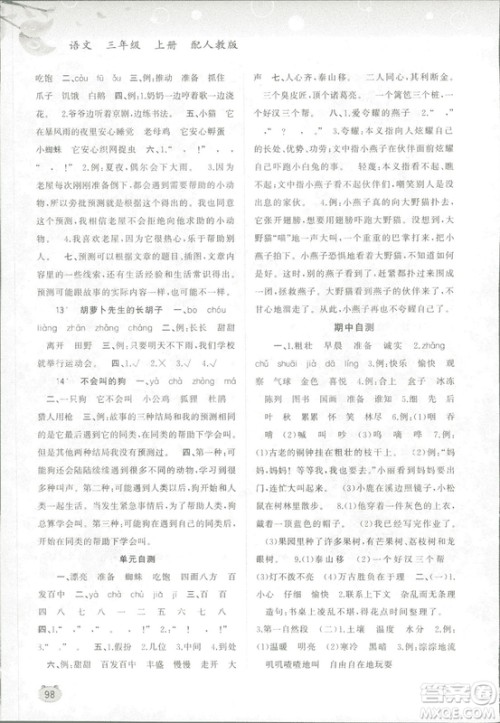
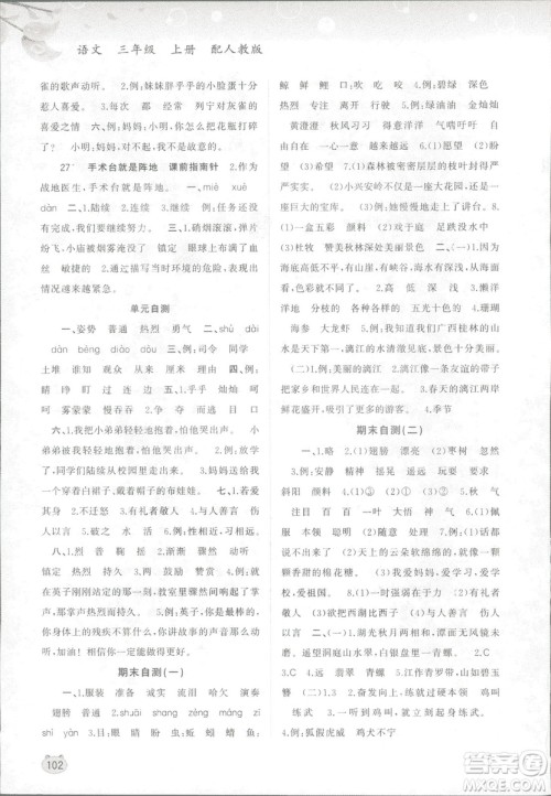
新课程学习与测评同步学习2018版语文三年级上册人教版答案,小编收集在答案圈了,感兴趣的学生可了解

ISBN9787549519750由广西课程教材发展中心组织编写,广西师范出版社出版,2018年8月印。本书参考答案已经全部收集了,学生做完后认真核对,一低昂会对成绩有所帮助的。








语文是一门基础学科,对其它学科起着十分重要的作用,但语文的学习并非一日之功,它需要有一个循序渐进的过程,因此,我认为应从这几方面辅导孩子:
1、拼音:一年级的孩子要求熟记26个字母及声母、韵母、整体认读音节等,并且书写要规范,注意变声调练习,多读多写音节词为识字阅读打好基础;
2、字词句:低段学生(一、二年级)是字词教学,一定要帮助孩子借助拼音学习汉字,能用形象记忆法、顺囗溜等帮孩子记忆汉字,会用简单的字组简单的词,知道简单的近义词,反义词,会用简单的词语写句子,认识比喻句,拟人句等,做到书写姿势端正,写字规范。并且会用音序、部首查学法查字典;
3、句、段:中段学生(三、四年级)着重进行段的训练,特别是三年级学生是过渡期学生,应加强指导。教孩子学会课前预习,划出疑点,课堂做好笔记,课后复习巩固。并且要会用工具书解决不知道、不理解的词语。学会按时间先后顺序或事情发展的顺序给课文分段,对要求背诵的诗文必须背会;
4、篇章:小学高段学生(五、六年级)主要是进行篇章的训练,除了课前预习,还得掌握不同类型课文的内容,结构等。学会抓中心词、中心句、中心段理解课文,会写段意,会总结中心思想等:
5、作文:作文被孩子们认为是语文学科最难的,家长应让孩子平时多留心、多观察,注意搜集生活中的素材,肚子里有东西了,才有话可写,一年级能写一两句完整的话就行,二年级能写五六句或一段话;三四年级能写整段话到二百字的文章就行;五六年级不但要学会写人记事,还得会写景、状物,甚至读后感、观后感。
总之,不管属于哪个学段的学生,家长都应督促辅导孩子多读、多背、多写、多练,课后认真完成作业,每天晚上把当天所学的知识过一遍,查漏补缺,养成自觉复习的好习惯,所学知识就好掌握牢固。
2018新课程学习与测评同步练习三年级数学上人教版答案
2018-10-15 09:12:42
2018新课程学习与测评同步练习三年级数学上人教版答案,小编收集在答案圈了,感兴趣的学生可以及时做好答案的核对2018新课程学习与测评同步练习三年级数学上人教版答案ISBN9787
2018外研版新课程学习与测评同步学习英语三年级上册参考答案
2018-10-15 09:01:36
2018外研版新课程学习与测评同步学习英语三年级上册参考答案,小编收集在答案圈了,感兴趣的学生可以及时做好答案的检查与核对2018外研版新课程学习与测评同步学习英语三年级上
2018学林驿站走进重高培优讲义数学八年级上册人教版A版参考答案
2018-10-15 08:45:29
2018学林驿站走进重高培优讲义数学八年级上册人教版A版参考答案,小编已经整理完成需要的来答案圈查看2018学林驿站走进重高培优讲义数学八年级上册人教版A版参考答案ISBN编
新课标小学同步学习目标与检测2018年二年级数学上册人教版答案
2018-10-15 08:34:09
新课标小学同步学习目标与检测2018年二年级数学上册人教版答案,小编收集在答案圈了,感兴趣的学生可以及时进行答案的检查与核对新课标小学同步学习目标与检测2018年二年级数学
2018新课程学习与测评同步学习答案