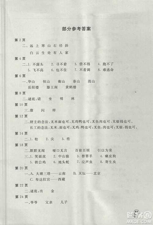
2018年新课堂假期生活暑假用书三年级语文冀教版参考答案,小编收集在答案圈了,感兴趣的学生可以来了解一下

由北京教育出版社出版的2018年新课堂假期生活暑假用书三年级语文冀教版参考答案,已经整理了,学生在做题过程中遇到任何不懂的题目可以随时查看答案圈,答案相对详细,会给你带来一定的帮助。


1.良好的学习习惯。敲重点啦!想学习好就得有良好的学习习惯,这句话适用于任何年龄段和任何学科,对于小学生尤为重要。有的家长说,我的孩子特别聪明,怎么成绩总是上不去?我告诉你,多半是学习习惯不好。良好的学习习惯表现在高质量的听课习惯,也就是课堂输入率,能把老师讲的内容及时的内化,只要上课认真听讲的孩子大部分不存在学习障碍。另外还要做好按时预习、及时复习、梳理知识点等。
2.多读书多背诵多思考。进入三年级,大部分孩子已经可以认识很多字,有些孩子可以进行整篇阅读了。课本上有的古诗文、精彩段落,可以让孩子熟读成诵。我们还可以给孩子买一些课外书,让孩子读,大声的读,有感情的读,逐渐掌握默读、精读、品读、浏览等阅读方式,来慢慢培养孩子的语感。
3.写好作文很关键。对于三年级的孩子来说,从一、二年级的口语交际过渡到作文,学习难度明显增加,孩子可能会有畏难情绪,这时我们做家长的要多多鼓励引导孩子,可以让孩子多看看优秀文章怎么写的,指导孩子通顺地表达、无错别字和病句即可,最最重要的是,要让孩子写出自己的真情实感,不写那些假、大、空的文章,不写流水账,夯实作文基础。说白了,想写好作文就是多读多想多练习,逐渐掌握写作技巧。另外,在听老师范读下水文、学生范文后,可以让孩子之间互相评价一下同桌的作文,相互学习借鉴、评价也是一个很好的学习方法。
4.字迹工整是门面。孩子上一、二年级时,使用的是铅笔,到了三年级会换成钢笔,有些孩子不能正确的使用,手上、衣服上搞得脏兮兮的,家长可以教教孩子,如何正确使用,如何吸水等。写字时,坐姿要端正,握笔姿势要正确,做到“三个一”:眼离书本一尺远,胸离桌边一拳远,手离笔尖一寸远。字要写得工整、整洁,尽量让各间架结构看起来更加美观。现在中招、高招考试都是机器阅卷,阅卷老师会根据卷面的整洁度和字迹工整度来打印象分,一手好字会受益终生。
2018年新课堂假期生活暑假用书四年级语文冀教版参考答案
2018-09-04 14:35:09
2018年新课堂假期生活暑假用书四年级语文冀教版参考答案,小编收集在答案圈了,感兴趣的学生可以随时进行查看2018年新课堂假期生活暑假用书四年级语文冀教版参考答案由北京教育
新课堂假期生活2018年暑假用书四年级英语冀教版答案
2018-09-04 11:47:30
新课堂假期生活2018年暑假用书四年级英语冀教版答案收录好了,需要的可以了解一下新课堂假期生活2018年暑假用书四年级英语冀教版答案由北京教育出版社出版的新课堂假期生活20
2018年冀教版新课堂假期生活暑假用书四年级数学参考答案
2018-09-04 11:09:03
2018年冀教版新课堂假期生活暑假用书四年级数学参考答案,小编收集在答案了,感兴趣的学生可以了解一下2018年冀教版新课堂假期生活暑假用书四年级数学参考答案由北京教育出版社
2018年冀教版新课堂假期生活暑假用书七年级数学参考答案
2018-09-04 10:26:07
2018年冀教版新课堂假期生活暑假用书七年级数学参考答案,小编收集在答案圈了,感兴趣的小伙伴可以随时点击查看2018年冀教版新课堂假期生活暑假用书七年级数学参考答案由北京教