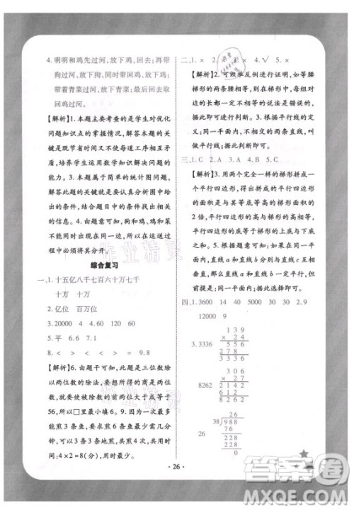
西安出版社2021黄冈随堂练数学四年级上册RJ人教版答案小编已经收集整理好了,结合教材针对性的巩固提高学生每日所学知识点,感兴趣的伙伴可以来答案圈核对答案哦!

本书系列的其他年级和科目的答案小编也有整理在答案圈,大家需要核对参考的可以直接在对应的年级搜素查看
































西安出版社2021黄冈随堂练语文三年级上册RJ人教版答案
2021-08-26 10:14:22
西安出版社2021黄冈随堂练语文三年级上册RJ人教版答案小编已经收集整理好了,结合教材针对性的巩固提高学生每日所学知识点,感兴趣的伙伴可以来答案圈核对答案哦!西安出版社2021
西安出版社2021黄冈随堂练数学三年级上册RJ人教版答案
2021-08-26 09:57:29
西安出版社2021黄冈随堂练数学三年级上册RJ人教版答案小编已经收集整理好了,结合教材针对性的巩固提高学生每日所学知识点,感兴趣的伙伴可以来答案圈核对答案哦!西安出版社2021
西安出版社2021黄冈随堂练语文一年级上册RJ人教版答案
2021-08-26 09:43:24
西安出版社2021黄冈随堂练语文一年级上册RJ人教版答案小编已经收集整理好了,结合教材针对性的巩固提高学生每日所学知识点,感兴趣的伙伴可以来答案圈核对答案哦!西安出版社2021
西安出版社2021黄冈随堂练数学一年级上册RJ人教版答案
2021-08-26 09:28:18
西安出版社2021黄冈随堂练数学一年级上册RJ人教版答案小编已经收集整理好了,结合教材针对性的巩固提高学生每日所学知识点,感兴趣的伙伴可以来答案圈核对答案哦!西安出版社2021