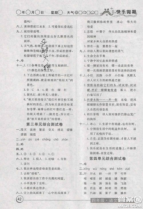
2020年黄冈测试卷系列暑假作业四年级语文人教版参考答案更新啦,使用黄冈测试卷系列暑假作业的同学赶紧来看看吧,各个年级学科的答案小编都有更新,同学们做完作业可以来对对答案,答案如下。

书名:黄冈测试卷系列暑假作业,学科:四年级语文,版本:人教版






2020年黄冈测试卷系列暑假作业四年级数学苏教版参考答案
2020-08-05 16:58:09
黄冈测试卷系列暑假作业小编已经整理了很多,同学们可以根据自己的需要搜索查看,2020年黄冈测试卷系列暑假作业四年级数学苏教版参考答案已经更新,需要可以参考。2020年黄冈测试
2020年黄冈测试卷系列暑假作业四年级数学北师版参考答案
2020-08-05 16:45:09
黄冈测试卷系列暑假作业系列答案小编整理了很多,同学们可以根据自己的需要搜索查看,2020年黄冈测试卷系列暑假作业四年级数学北师版参考答案已经更新,做完作业不妨看看吧。2020
龙门书局2020秋黄冈小状元达标卷五年级英语RP人教版参考答案
2020-08-05 16:42:51
龙门书局2020秋黄冈小状元达标卷五年级英语RP人教版参考答案小编已经收集整理好了,需要核对参考的伙伴可以来答案圈看看龙门书局2020秋黄冈小状元达标卷五年级英语RP人教版参
2020年黄冈测试卷系列暑假作业四年级数学人教版参考答案
2020-08-05 16:33:09
2020年黄冈测试卷系列暑假作业四年级数学人教版参考答案更新啦,黄冈测试卷系列暑假作业系列答案小编已经整理了很多,同学们做完作业不妨来看看参考参考,答案如下,仅供参考。2020