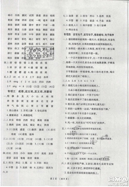
期末高分冲刺试卷汇编四年级语文下册人教版的答案小编已经收集整理好了,做完了之后可以来检查一下,看看自己做的对不对,不要直接照抄答案哦!

答案如下,仅供参考!








2020期末高分冲刺试卷汇编四年级数学下册北师大版答案
2020-06-12 09:24:47
期末高分冲刺试卷汇编四年级数学下册北师大版的答案小编已经收集整理好了,做完了之后可以来检查一下,看看自己做的对不对,不要直接照抄答案哦!2020期末高分冲刺试卷汇编四年级数
2020期末高分冲刺试卷汇编五年级语文下册人教版答案
2020-06-12 09:12:13
期末高分冲刺试卷汇编五年级语文下册人教版的答案小编已经收集整理好了,做完了之后可以来检查一下,看看自己做的对不对吧,这个系列的也有收集整理其他学科的哦!2020期末高分冲刺
2020期末高分冲刺试卷汇编五年级数学下册北师大版答案
2020-06-12 08:50:41
期末高分冲刺试卷汇编系列小编这次收集整理的是五年级数学下册北师大版的答案,使用这本练习册的可以来检查一下,看看自己做的对不对,不要直接照抄答案哦!2020期末高分冲刺试卷汇
2020年期末高分冲刺试卷汇编六年级语文下册人教版答案
2020-06-11 19:15:15
期末高分冲刺试卷汇编六年级语文下册人教版的答案小编已经收集整理好了,做完了之后可以来检查一下,看看自己做对了没有,这个系列的教辅小编正在陆续收集,想要看其他学科的可以直