首页小学初中高中专题
当前位置:首页 > 小学答案网 > 六年级答案

上海科学普及出版社2021精练与提高六年级上册数学通用版参考答案

时间:2021-11-11 17:04:54    作者:答案圈
标签:
六年级数学上册答案

上海科学普及出版社2021精练与提高六年级上册数学通用版参考答案小编已经为大家整理好了,本书是由上海科学普及出版社出版设计,本书根据教材单元内容,巧妙地将数学与生活相结合,设置了新颖、科学的题型供学生练习,喜欢的同学,可以来看看哟!GYY答案圈

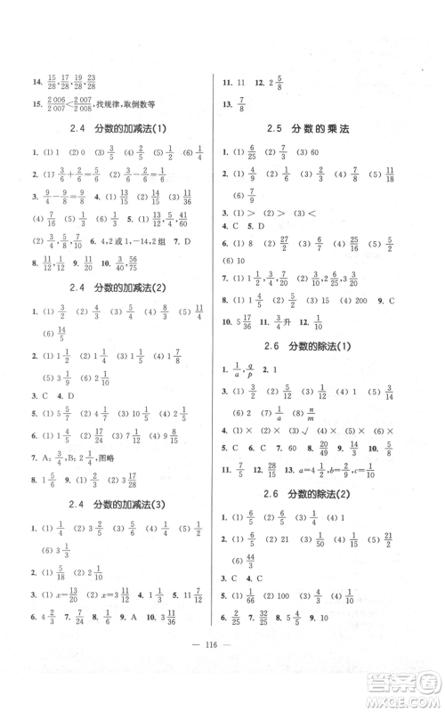
上海科学普及出版社2021精练与提高六年级上册数学通用版参考答案GYY答案圈

上海科学普及出版社2021精练与提高六年级上册数学通用版参考答案

答案如下:GYY答案圈

上海科学普及出版社2021精练与提高六年级上册数学通用版参考答案GYY答案圈

上海科学普及出版社2021精练与提高六年级上册数学通用版参考答案GYY答案圈

上海科学普及出版社2021精练与提高六年级上册数学通用版参考答案GYY答案圈

上海科学普及出版社2021精练与提高六年级上册数学通用版参考答案GYY答案圈

上海科学普及出版社2021精练与提高六年级上册数学通用版参考答案GYY答案圈

上海科学普及出版社2021精练与提高六年级上册数学通用版参考答案GYY答案圈

上海科学普及出版社2021精练与提高六年级上册数学通用版参考答案GYY答案圈

上海科学普及出版社2021精练与提高六年级上册数学通用版参考答案GYY答案圈

上海科学普及出版社2021精练与提高六年级上册数学通用版参考答案GYY答案圈

上海科学普及出版社2021精练与提高六年级上册数学通用版参考答案GYY答案圈

上海科学普及出版社2021精练与提高六年级上册数学通用版参考答案GYY答案圈

上海科学普及出版社2021精练与提高六年级上册数学通用版参考答案GYY答案圈

上海科学普及出版社2021精练与提高六年级上册数学通用版参考答案GYY答案圈

上海科学普及出版社2021精练与提高六年级上册数学通用版参考答案GYY答案圈

上海科学普及出版社2021精练与提高六年级上册数学通用版参考答案GYY答案圈

上海科学普及出版社2021精练与提高六年级上册数学通用版参考答案GYY答案圈

查看更多答案
相关文章
专题推荐

2022小学长江作业本上册系列答案

2022阳光学业评价上册系列答案

2022资源与评价上册系列答案

2022初中全品学练考上册系列答案

2022阳光同学课时优化作业上册系列答案

相关专题
课后作业答案
数学
语文
英语
其他
网友留言
最新更新
天津科学技术出版社2022状元大考卷数学六年级上册苏教版参考答案
状元大考卷答案 六年级数学上册答案
新疆青少年出版社2022优学1+1评价与测试六年级上册英语人教精通版参考答案
优学1+1评价与测试答案 六年级英语上册答案
吉林出版集团股份有限公司2022全优计划六年级上册英语人教版参考答案
全优计划答案 六年级英语上册答案
天津科学技术出版社2022状元大考卷数学六年级上册西师大版参考答案
状元大考卷答案 六年级数学上册答案