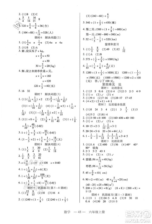
二十一世纪出版社集团2021新课程新练习六年级数学上册人教版答案小编为大家整理好了,本书经人民教育出版社授权,搭配人教版教材编写,围绕教材上的知识点进行科学分类整合的专项测试,题型多样,针对性强,着力于运算基础知识的融会贯通,需要核对答案的同学可以来看看哦!

新课程新练习系列其他年级和科目的参考答案小编也有整理,大家可以在答案圈搜索查看。








二十一世纪出版社集团2021新课程新练习六年级语文上册统编版答案
2021-10-21 13:54:02
二十一世纪出版社集团2021新课程新练习六年级语文上册统编版答案为大家整理好了,本书经人民教育出版社授权,搭配人教版教材编写,与课时同步,定位中等偏上学生使用瞄准课堂练习、
二十一世纪出版社集团2021新课程新练习五年级英语上册PEP版答案
2021-10-21 13:39:22
二十一世纪出版社集团2021新课程新练习五年级英语上册PEP版答案小编为同学们整理好了,本书经人民教育出版社授权,搭配人教版教材编写,对课本知识点进行回顾,讲明白,学透彻,专题训
二十一世纪出版社集团2021新课程新练习五年级数学上册人教版答案
2021-10-21 13:27:09
二十一世纪出版社集团2021新课程新练习五年级数学上册人教版答案小编为大家整理好了,本书经人民教育出版社授权,搭配人教版教材编写,注重基础,梯度恰当,强化基础知识、基本技能、
二十一世纪出版社集团2021新课程新练习五年级语文上册统编版答案
2021-10-21 11:37:30
二十一世纪出版社集团2021新课程新练习五年级语文上册统编版答案小编为大家整理好了,本书经人民教育出版社授权,搭配人教版教材编写,强调与课本同步,知识点更细,边学边练,用于打基
2021小学新课程新练习上册系列答案