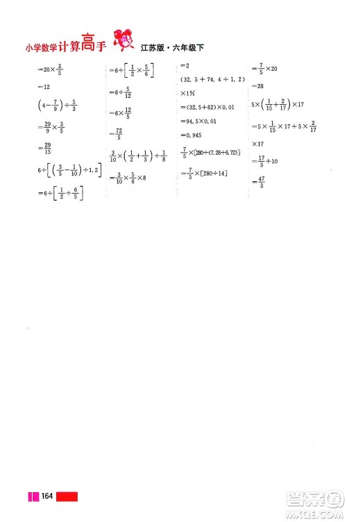
江苏凤凰美术出版社2021超能学典小学数学计算高手六年级下册江苏版参考答案小编已经为大家收集整理好了,这本书是由江苏凤凰美术出版社出版设计,针对六年级计算基础薄弱的学生所设计,帮助学生巩固自身数学计算知识,熟悉并掌握计算诀窍,从而学生成绩就会逐步提升,如果你对这本书感兴趣的话,欢迎你到答案圈查阅参考答案!

答案如下,欢迎参考!
























江苏凤凰美术出版社2021超能学典小学数学计算高手五年级下册江苏版参考答案
2021-07-19 12:19:01
江苏凤凰美术出版社2021超能学典小学数学计算高手五年级下册江苏版参考答案小编已经为大家收集整理好了,这本书是由江苏凤凰美术出版社出版设计,针对五年级数学,对学生进行全面
江苏凤凰美术出版社2021超能学典小学数学计算高手四年级下册江苏版参考答案
2021-07-19 08:07:00
江苏凤凰美术出版社2021超能学典小学数学计算高手四年级下册江苏版参考答案小编已经为各位小伙伴们收集整理好了,这本书是由江苏凤凰美术出版社出版设计,针对四年级学生的计算
江苏凤凰美术出版社2021超能学典小学数学计算高手三年级下册江苏版参考答案
2021-07-18 11:49:50
江苏凤凰美术出版社2021超能学典小学数学计算高手三年级下册江苏版参考答案小编已经为大家收集整理好了,这本书是由江苏凤凰美术出版社出版设计,针对小学数学基础薄弱的学生所
江苏凤凰美术出版社2021超能学典小学英语默写高手六年级下册江苏版参考答案
2021-07-16 15:12:01
江苏凤凰美术出版社2021超能学典小学英语默写高手六年级下册江苏版参考答案小编已经为各位同学们收集整理好了,这本书是由江苏凤凰美术出版社出版设计, 这本书帮助同学们及时
2021小学数学计算高手系列答案