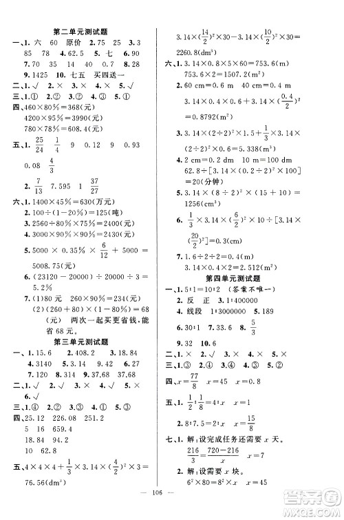
新疆青少年出版社2021原创新课堂数学六年级下RJ人教版答案小编已经收集整理好了!更多答案小伙伴可以来答案圈了解一下!

本书系列的其他年级和科目的答案小编也有整理在答案圈,大家需要核对参考的可以直接在对应得年级搜素查看












新疆青少年出版社2020秋原创新课堂九年级化学上册鲁教版答案
2020-09-15 15:13:45
新疆青少年出版社2020秋原创新课堂九年级化学上册鲁教版答案已经和同学们分享,使用原创新课堂系列的同学不妨来看看吧,各个年级学科的答案小编都有更新,答案如下,仅供参考。新疆
新疆青少年出版社2020秋原创新课堂九年级化学上册沪教版答案
2020-09-15 14:58:57
原创新课堂系列答案小编已经整理了很多,这次更新到的是新疆青少年出版社2020秋原创新课堂九年级化学上册沪教版答案,做完习题可以来对对答案,有做错的题目及时修改,答案如下,仅供
新疆青少年出版社2020秋原创新课堂九年级化学上册人教版答案
2020-09-15 14:43:26
新疆青少年出版社2020秋原创新课堂九年级化学上册人教版答案更新啦,使用原创新课堂系列的同学赶紧来看看吧,各个年级学科的答案小编都有更新,都是最新版的答案哦,需要可以自行搜
新疆青少年出版社2020秋原创新课堂九年级物理上册教科版答案
2020-09-15 14:15:23
使用原创新课堂系列的同学不妨来看看吧,新疆青少年出版社2020秋原创新课堂九年级物理上册教科版答案已经更新,做完作业可以来对对答案,有做错的题目及时修改,答案如下,仅供参考。
新疆青少年出版社答案