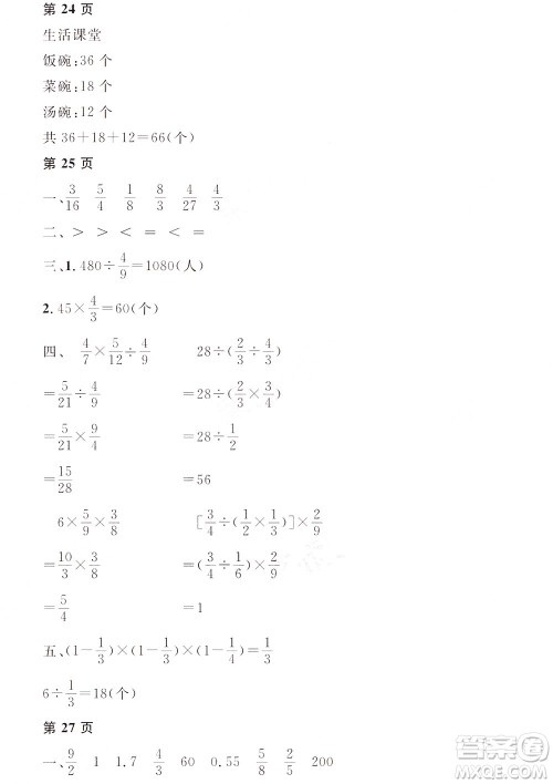
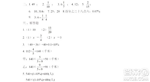
黑龙江少年儿童出版社2022阳光假日寒假六年级数学人教答案小编整理在答案圈了,最新寒假作业答案,练习完得伙伴记得来核对一下看看自己对每天学习得知识掌握的怎么样

本书系列的其他年级和科目的答案小编也有整理在答案圈,大家需要核对参考的可以直接在对应得年级搜素查看


























黑龙江少年儿童出版社2021阳光假日寒假六年级英语人教精通版答案
2021-02-10 16:30:41
黑龙江少年儿童出版社2021阳光假日寒假六年级英语人教精通版答案小编整理在答案圈了,练习完得伙伴记得来核对一下看看自己对每天学习得知识掌握的怎么样黑龙江少年儿童出版社
黑龙江少年儿童出版社2022阳光假日寒假六年级英语人教PEP版答案
2021-02-10 16:21:34
黑龙江少年儿童出版社2022阳光假日寒假六年级英语人教PEP版答案小编整理在答案圈了,练习完得伙伴记得来核对一下看看自己对每天学习得知识掌握的怎么样黑龙江少年儿童出版社2
黑龙江少年儿童出版社2022阳光假日寒假六年级语文人教答案
2021-02-10 16:07:53
黑龙江少年儿童出版社2022阳光假日寒假六年级语文人教答案小编整理在答案圈了,练习完得伙伴记得来核对一下看看自己对每天学习得知识掌握的怎么样黑龙江少年儿童出版社2022阳
黑龙江少年儿童出版社2022阳光假日寒假六年级英语广东人民版答案
2021-02-10 15:31:43
黑龙江少年儿童出版社2022阳光假日寒假六年级英语广东人民版答案小编整理在答案圈了,练习完得伙伴记得来核对一下看看自己对每天学习得知识掌握的怎么样黑龙江少年儿童出版社