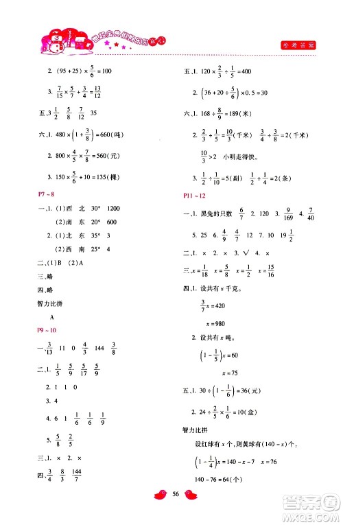
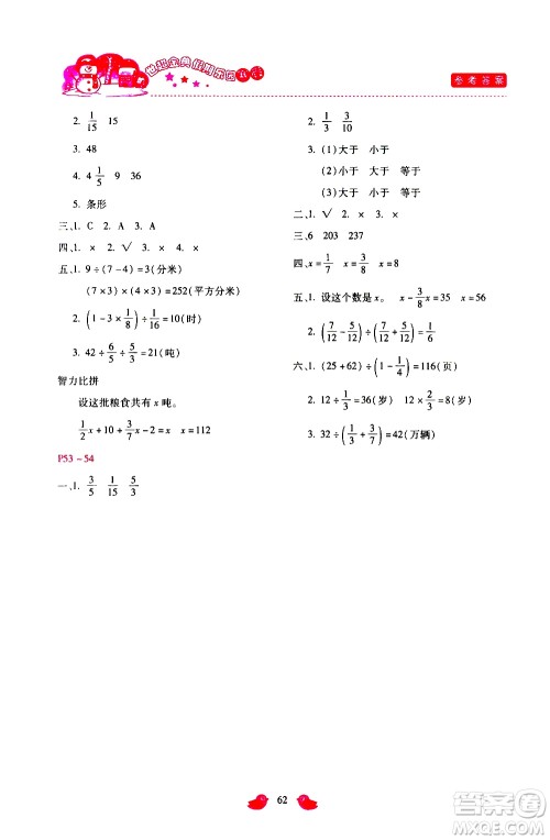
河北少年儿童出版社2021世超金典寒假假期乐园六年级数学人教版答案小编已经收集整理好了,感兴趣的伙伴可以来答案圈查看

本书系列的其他年级和科目的答案小编已经收集整理好了,需要核对的伙伴可以来答案对应的年级搜索查看!








河北少年儿童出版社2021世超金典寒假假期乐园五年级英语JJ冀教版答案
2021-02-03 16:07:27
河北少年儿童出版社2021世超金典寒假假期乐园五年级英语JJ冀教版答案小编已经收集整理好了,感兴趣的伙伴可以来答案圈查看河北少年儿童出版社2021世超金典寒假假期乐园五年级
河北少年儿童出版社2021世超金典寒假假期乐园五年级数学人教版答案
2021-02-03 15:57:27
河北少年儿童出版社2021世超金典寒假假期乐园五年级数学人教版答案小编已经收集整理好了,感兴趣的伙伴可以来答案圈查看河北少年儿童出版社2021世超金典寒假假期乐园五年级数
河北少年儿童出版社2021世超金典寒假假期乐园三年级数学人教版答案
2021-02-03 15:48:03
河北少年儿童出版社2021世超金典寒假假期乐园三年级数学人教版答案小编已经收集整理好了,感兴趣的伙伴可以来答案圈查看河北少年儿童出版社2021世超金典寒假假期乐园三年级数
江西高校出版社2021寒假生活六年级数学人教版答案
2021-02-02 16:21:55
2021寒假生活六年级数学人教版的答案小编收集整理如下,做完了之后可以来检查一下,看看自己做的对不对,不要照抄答案哦,其他学科的和其他年级的直接站内搜书名吧!江西高校出版社20
河北少年儿童出版社系列答案