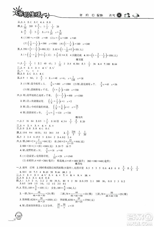
2021寒假生活六年级数学人教版的答案小编收集整理如下,做完了之后可以来检查一下,这个系列的还有其他学科的,直接站内搜书名吧,不要照抄答案哦!

答案如下,仅供参考




上海交通大学出版社2021寒假生活六年级语文人教版答案
2021-02-02 15:29:24
2021寒假生活六年级语文人教版的答案小编收集整理好了,做完了之后可以来检查一下,看看自己做的对不对,不要照抄答案哦,其他学科的和其他年级的直接站内搜书名吧!上海交通大学出版
上海交通大学出版社2021寒假生活六年级英语人教PEP版答案
2021-02-02 15:15:48
2021寒假生活六年级英语人教PEP版的答案小编收集整理如下,做完了之后可以来检查一下,看看自己做的对不对,不要照抄答案哦!其他学科的和其他年级的直接站内搜书名吧!上海交通大学
上海交通大学出版社2021寒假生活五年级语文人教版答案
2021-02-02 11:43:25
2021寒假生活五年级语文人教版的答案小编收集整理如下,做完了之后可以来检查一下,看看自己做的对不对,不要照抄答案哦!上海交通大学出版社2021寒假生活五年级语文人教版答案答案
上海交通大学出版社2021寒假生活五年级数学人教版答案
2021-02-02 11:38:58
2021寒假生活五年级数学人教版的答案小编收集整理好了,做完了之后可以来检查一下,看看自己做的对不对,不要照抄答案哦!上海交通大学出版社2021寒假生活五年级数学人教版答案答案