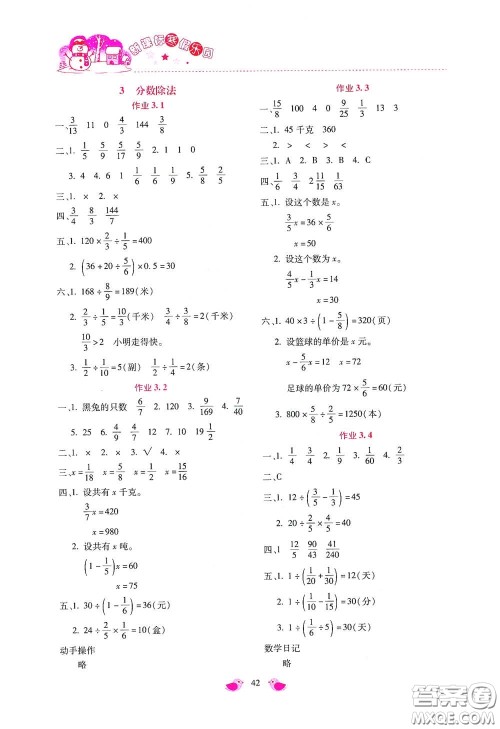
2021年新课标寒假乐园六年级数学的答案小编收集整理如下,做完了之后可以来检查一下,看看自己做的对不对吧,不要照抄答案哦,其他学科的和其他年级的直接站内搜书名就好了!

答案如下,仅供参考!



北京教育出版社2021新课标寒假乐园六年级英语答案
2021-01-20 16:37:01
2021新课标寒假乐园六年级英语的答案小编收集整理好了,做完了之后可以来检查一下,看看自己做的对不对,不要照抄答案哦,其他学科的和其他年级的直接站内搜书名吧!北京教育出版社20
北京教育出版社2021新课标寒假乐园六年级语文答案
2021-01-20 16:14:37
2021新课标寒假乐园六年级语文的答案小编收集整理如下,做完了之后可以来检查一下,看看自己做的对不对,这个系列的还有其他学科的哦,直接站内搜书名吧!北京教育出版社2021新课标寒
辽宁师范大学出版社2021寒假乐园六年级数学答案
2021-01-20 15:45:48
2021寒假乐园六年级数学的答案小编收集整理好了,做完了之后可以来检查一下,看看自己做的对不对,不要照抄答案哦,其他学科的和其他年级的直接站内搜书名吧!辽宁师范大学出版社2021
北京教育出版社2021年新课标寒假乐园四年级数学答案
2021-01-19 15:51:18
2021年新课标寒假乐园四年级数学的答案小编已经收集整理好了,做完了之后可以来检查一下,看看自己做的对不对,不要照抄答案哦,其他学科的和其他年级的直接站内搜书名吧!北京教育出