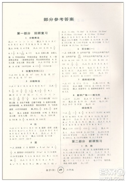
安徽人民出版社2021第三学期寒假衔接六年级数学人教版答案小编已经收集整理好了,需要核对参考的伙伴可以来答案圈看看

本书系列的其他年级和科目的答案小编也有整理收集,大家可以根据自己的需要在对应的年级搜索查看

浙江科学技术出版社2021第三学期寒假衔接六年级科学教科版答案
2021-01-07 09:10:35
浙江科学技术出版社2021第三学期寒假衔接六年级科学教科版答案小编已经收集整理好了,需要核对参考的伙伴可以来答案圈看看浙江科学技术出版社2021第三学期寒假衔接六年级科学
北京教育出版社2021寒假作业六年级数学人教版答案
2021-01-06 17:11:44
北京教育出版社2021寒假作业六年级数学人教版答案小编已经收集整理好了,需要核对参考的伙伴可以来答案圈看看北京教育出版社2021寒假作业六年级数学人教版答案本书系列的其他
安徽人民出版社2021第三学期寒假衔接五年级数学人教版答案
2021-01-06 15:16:56
安徽人民出版社2021第三学期寒假衔接五年级数学人教版答案小编已经收集整理好了,需要核对参考的伙伴可以来答案圈看看安徽人民出版社2021第三学期寒假衔接五年级数学人教版答
浙江科学技术出版社2021第三学期寒假衔接五年级科学教科版答案
2021-01-06 15:00:18
浙江科学技术出版社2021第三学期寒假衔接五年级科学教科版答案小编已经收集整理好了,需要核对参考的伙伴可以来答案圈看看浙江科学技术出版社2021第三学期寒假衔接五年级科学
2021小学生寒假作业答案