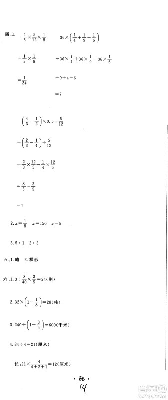
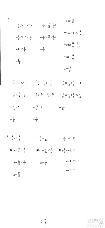
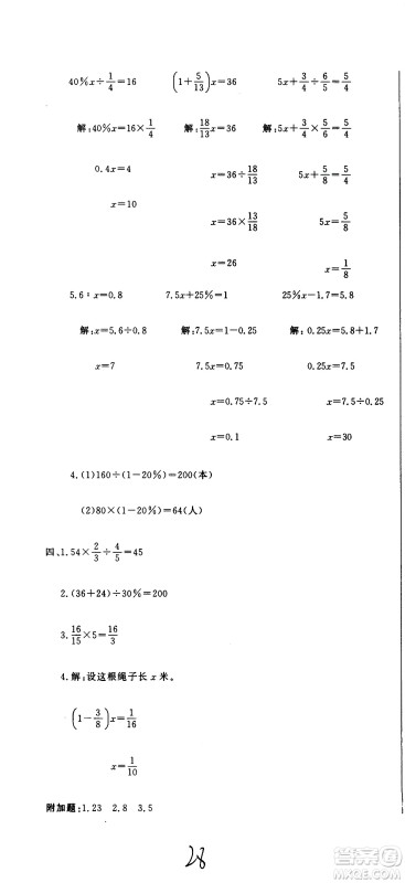
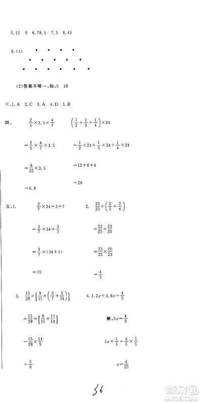
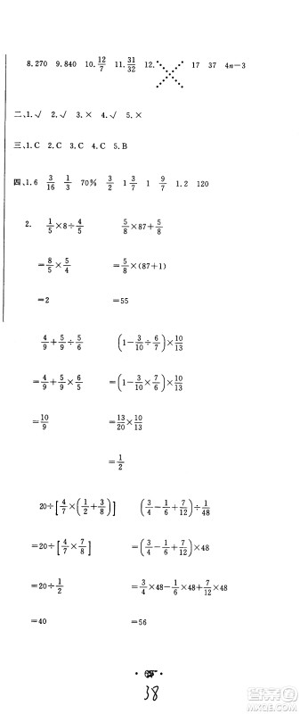
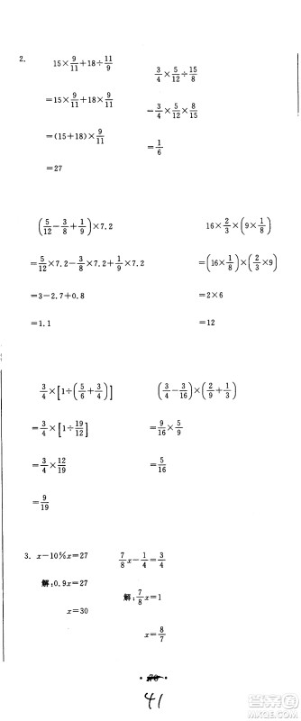
北京教育出版社2020提分教练优学导练测试卷六年级数学上册人教版答案小编已经整理好了,需要核对参考的伙伴来答案圈看看

本书系列的其他年级和科目的答案小编也有整理,需要核对参考的伙伴直接在答案圈对应的年级搜索即可查看










































北京教育出版社2020提分教练优学导练测试卷三年级英语上册人教精通版答案
2020-12-17 11:16:47
北京教育出版社2020提分教练优学导练测试卷三年级英语上册人教精通版答案小编已经整理好了,需要核对参考的伙伴来答案圈看看北京教育出版社2020提分教练优学导练测试卷三年级
北京教育出版社2020提分教练优学导练测试卷四年级英语上册人教精通版答案
2020-12-17 11:05:13
北京教育出版社2020提分教练优学导练测试卷四年级英语上册人教精通版答案小编已经整理好了,需要核对参考的伙伴来答案圈看看北京教育出版社2020提分教练优学导练测试卷四年级
北京教育出版社2020提分教练优学导练测试卷五年级英语上册人教精通版答案
2020-12-17 10:48:08
北京教育出版社2020提分教练优学导练测试卷五年级英语上册人教精通版答案小编已经整理好了,需要核对参考的伙伴来答案圈看看北京教育出版社2020提分教练优学导练测试卷五年级
北京教育出版社2020提分教练优学导练测试卷六年级英语上册人教精通版答案
2020-12-17 10:36:11
北京教育出版社2020提分教练优学导练测试卷六年级英语上册人教精通版答案小编已经整理好了,需要核对参考的伙伴来答案圈看看北京教育出版社2020提分教练优学导练测试卷六年级
提分教练优学导练测上册系列答案