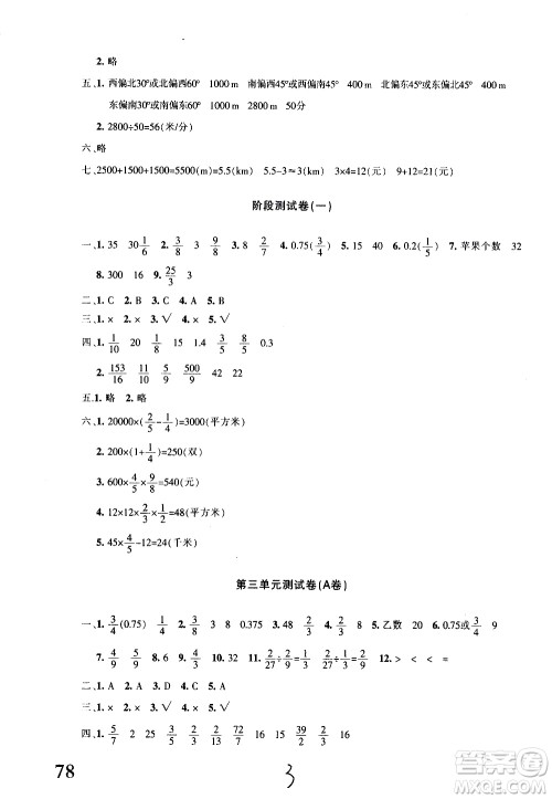
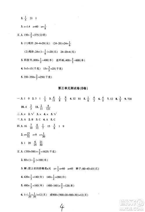
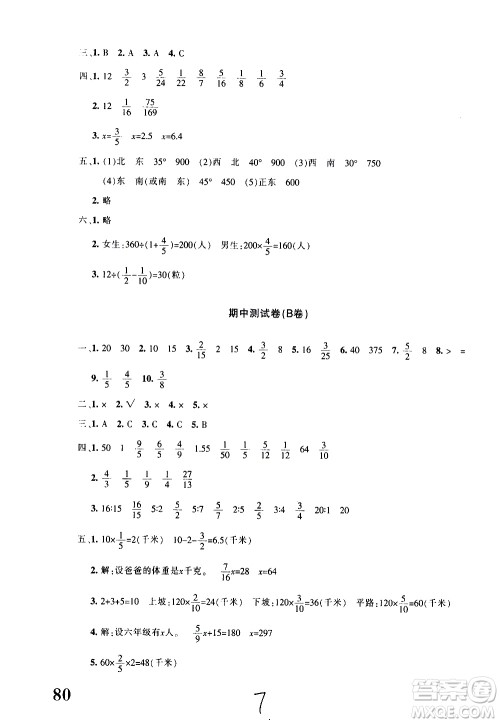
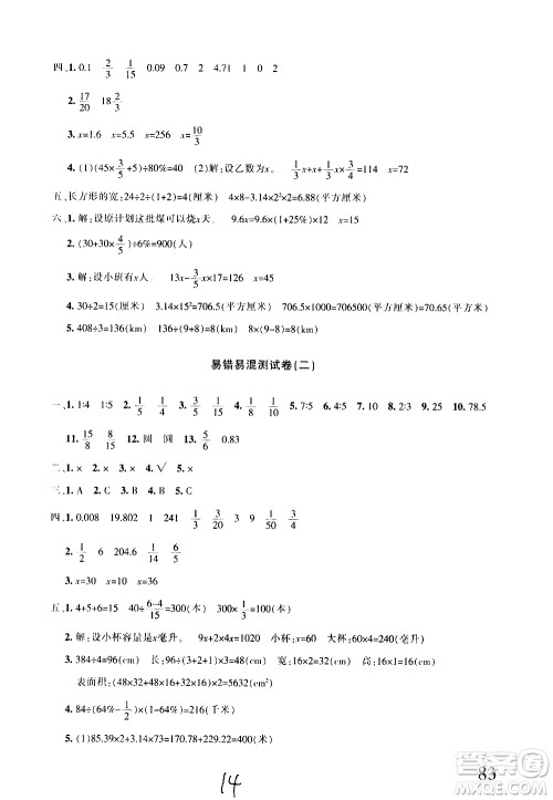
新疆青少年出版社2020优学1+1评价与测试数学六年级上册人教版答案小编已经整理好了,需要核对参考的伙伴来答案圈看看

本书系列的其他年级和科目的答案小编也有整理,需要核对参考的伙伴直接在答案圈对应的年级搜索即可查看


















新疆青少年出版社2020优学1+1评价与测试英语精通五年级上册答案
2020-12-08 15:19:59
新疆青少年出版社2020优学1+1评价与测试英语精通五年级上册答案小编已经整理好了,需要核对参考的伙伴来答案圈看看新疆青少年出版社2020优学1+1评价与测试英语精通五年级上册
新疆青少年出版社2020优学1+1评价与测试语文五年级上册人教版答案
2020-12-08 14:18:25
新疆青少年出版社2020优学1+1评价与测试语文五年级上册人教版答案小编已经整理好了,需要核对参考的伙伴来答案圈看看新疆青少年出版社2020优学1+1评价与测试语文五年级上册人
新疆青少年出版社2020优学1+1评价与测试英语精通五年级上册答案
2020-12-08 14:03:40
新疆青少年出版社2020优学1+1评价与测试英语精通五年级上册答案小编已经整理好了,需要核对参考的伙伴来答案圈看看新疆青少年出版社2020优学1+1评价与测试英语精通五年级上册
新疆青少年出版社2020优学1+1评价与测试语文四年级上册人教版答案
2020-12-08 11:44:27
新疆青少年出版社2020优学1+1评价与测试语文四年级上册人教版答案小编已经整理好了,需要核对参考的伙伴来答案圈看看新疆青少年出版社2020优学1+1评价与测试语文四年级上册人