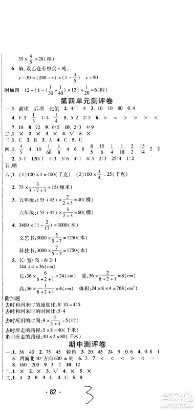
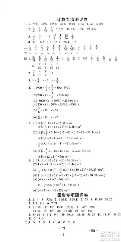
西安出版社2020创新考王数学六年级上册新课标RJ人教版答案小编已经整理好了,需要核对参考的伙伴来答案圈看看

本书系列的其他年级和科目的答案小编也有整理,需要核对参考的伙伴直接在答案圈对应的年级搜索即可查看











西安出版社2020创新考王英语六年级上册新课标PEP人教版答案
2020-12-08 08:43:59
西安出版社2020创新考王英语六年级上册新课标PEP人教版答案小编已经整理好了,需要核对参考的伙伴来答案圈看看西安出版社2020创新考王英语六年级上册新课标PEP人教版答案本书
西安出版社2020创新考王语文六年级上册新课标RJ人教版答案
2020-12-08 08:32:25
西安出版社2020创新考王语文六年级上册新课标RJ人教版答案小编已经整理好了,需要核对参考的伙伴来答案圈看看西安出版社2020创新考王语文六年级上册新课标RJ人教版答案本书系
西安出版社2020创新考王数学五年级上册新课标RJ人教版答案
2020-12-08 08:14:55
西安出版社2020创新考王数学五年级上册新课标RJ人教版答案小编已经整理好了,需要核对参考的伙伴来答案圈看看西安出版社2020创新考王数学五年级上册新课标RJ人教版答案本书系
西安出版社2020创新考王数学五年级上册新课标BS北师版答案
2020-12-08 08:10:20
西安出版社2020创新考王数学五年级上册新课标BS北师版答案小编已经整理好了,需要核对参考的伙伴来答案圈看看西安出版社2020创新考王数学五年级上册新课标BS北师版答案本书系
西安出版社系列答案