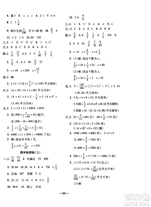
电子科技大学出版社2020年本土卷数学六年级上册人教版答案小编已经收集整理好了,正在使用本书的伙伴可以来看看哦!

本书的其年级和他科目的答案小编也有整理,需要核对参考的伙伴直接在答案圈对应的年级搜索即可查看








内蒙古少年儿童出版社2020本土第1卷数学五年级上册人教版答案
2020-11-26 10:54:13
内蒙古少年儿童出版社2020本土第1卷数学五年级上册人教版答案小编已经收集整理好了,正在使用本书的伙伴可以来看看哦!内蒙古少年儿童出版社2020本土第1卷数学五年级上册人教版
电子科技大学出版社2020年本土卷数学五年级上册人教版答案
2020-11-26 10:41:08
电子科技大学出版社2020年本土卷数学五年级上册人教版答案小编已经收集整理好了,正在使用本书的伙伴可以来看看哦!电子科技大学出版社2020年本土卷数学五年级上册人教版答案本
电子科技大学出版社2020年本土卷语文四年级上册人教版答案
2020-11-26 10:24:24
电子科技大学出版社2020年本土卷语文四年级上册人教版答案小编已经收集整理好了,正在使用本书的伙伴可以来看看哦!电子科技大学出版社2020年本土卷语文四年级上册人教版答案本
电子科技大学出版社2020年本土卷数学四年级上册人教版答案
2020-11-26 09:12:02
电子科技大学出版社2020年本土卷数学四年级上册人教版答案小编已经收集整理好了,正在使用本书的伙伴可以来看看哦!电子科技大学出版社2020年本土卷数学四年级上册人教版答案本