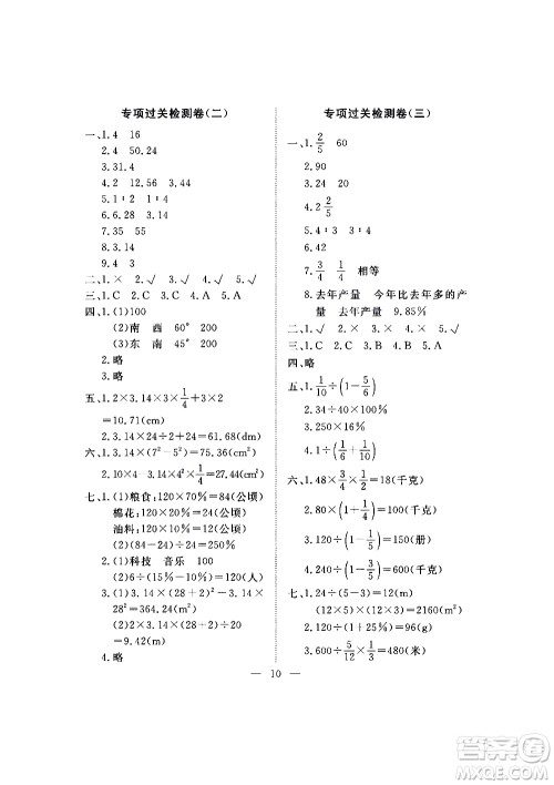
海南出版社2020年新课程学习指导测试卷数学六年级上册人教版答案小编已经整理好了,需要核对答案的伙伴可以来看看

本书的其年级和他科目的答案小编也有整理,需要核对参考的伙伴直接在答案圈对应的年级搜索即可查看












海南出版社2020年新课程学习指导测试卷英语五年级上册外研版答案
2020-10-23 14:52:27
海南出版社2020年新课程学习指导测试卷英语五年级上册外研版答案小编已经整理好了,需要核对答案的伙伴可以来看看海南出版社2020年新课程学习指导测试卷英语五年级上册外研版
海南出版社2020年新课程学习指导测试卷数学五年级上册苏教版答案
2020-10-23 14:45:54
海南出版社2020年新课程学习指导测试卷数学五年级上册苏教版答案小编已经整理好了,需要核对答案的伙伴可以来看看海南出版社2020年新课程学习指导测试卷数学五年级上册苏教版
海南出版社2020年新课程学习指导测试卷语文五年级上册人教版答案
2020-10-23 14:25:25
海南出版社2020年新课程学习指导测试卷语文五年级上册人教版答案小编已经整理好了,需要核对答案的伙伴可以来看看海南出版社2020年新课程学习指导测试卷语文五年级上册人教版
海南出版社2020年新课程学习指导测试卷英语四年级上册外研版答案
2020-10-23 13:27:55
海南出版社2020年新课程学习指导测试卷英语四年级上册外研版答案小编已经整理好了,需要核对答案的伙伴可以来看看海南出版社2020年新课程学习指导测试卷英语四年级上册外研版