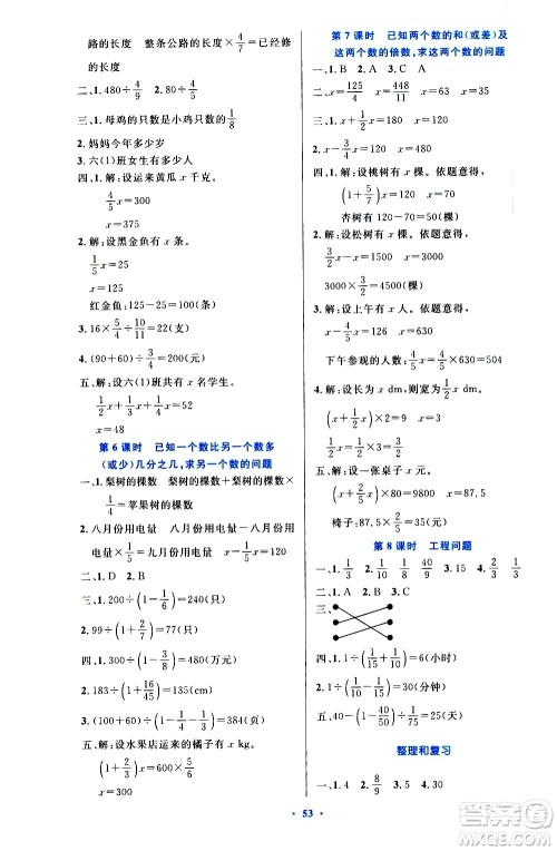
人民教育出版社2020小学同步测控优化设计数学六年级上册增强版答案小编已经整理好了,需要核对答案的伙伴可以来看看

本书的其年级和他科目的答案小编也有整理,需要核对参考的伙伴直接在答案圈对应的年级搜索即可查看
















2020小学同步测控优化设计课内课外直通车语文六年级上册福建专版答案
2020-10-22 16:42:44
2020小学同步测控优化设计课内课外直通车语文六年级上册福建专版答案小编已经整理好了,需要核对答案的伙伴可以来看看2020小学同步测控优化设计课内课外直通车语文六年级上册
2020小学同步测控优化设计数学六年级上册北师大版答案
2020-10-22 16:33:23
2020小学同步测控优化设计数学六年级上册北师大版答案小编已经整理好了,需要核对答案的伙伴可以来看看2020小学同步测控优化设计数学六年级上册北师大版答案本书的其年级和他
2020小学同步测控优化设计英语五年级上册PEP人教版答案
2020-10-22 15:15:36
2020小学同步测控优化设计英语五年级上册PEP人教版答案小编已经整理好了,需要核对答案的伙伴可以来看看2020小学同步测控优化设计英语五年级上册PEP人教版答案本书的其年级和
人民教育出版社2020小学同步测控优化设计语文五年级上册增强版答案
2020-10-22 14:51:29
人民教育出版社2020小学同步测控优化设计语文五年级上册增强版答案小编已经整理好了,需要核对答案的伙伴可以来看看人民教育出版社2020小学同步测控优化设计语文五年级上册增
2021小学同步测控优化设计上册系列答案