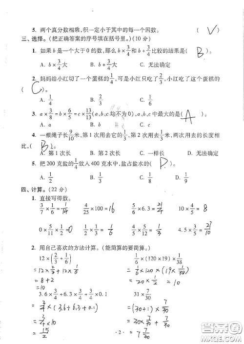
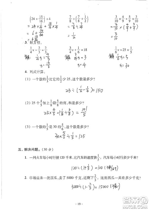
2020单元自测试卷六年级数学上册人教版的答案小编已经收集整理好了,做完了之后可以来检查一下,看看自己做的对不对,这个系列的还有其他学科的哦,直接站内搜书名吧!

答案如下,仅供参考!
























































































青岛出版社2020单元自测试卷五年级数学上册人教版答案
2020-10-15 16:39:35
2020单元自测试卷五年级数学上册人教版的答案小编已经收集整理好了,做完了之后可以来检查一下,看看自己做的对不对,不要直接照抄答案哦,其他学科的和其他年级的直接站内搜书名吧
青岛出版社2020单元自测试卷五年级英语上册人教版答案
2020-10-15 16:23:14
2020单元自测试卷五年级英语上册人教版的答案小编已经收集整理好了,做完了之后可以来检查一下,看看自己做的对不对,不要直接照抄答案哦,其他学科的和其他年级的直接站内搜书名吧
青岛出版社2020单元自测试卷四年级语文上册人教版答案
2020-10-15 16:11:19
2020单元自测试卷四年级语文上册人教版的答案小编已经收集整理好了,做完了之后可以来检查一下,看看自己做的对不对,不要直接照抄答案哦,其他学科的和其他年级的直接站内搜书名吧
青岛出版社2020单元自测试卷四年级英语上册人教版答案
2020-10-15 15:49:01
2020单元自测试卷四年级英语上册人教版的答案小编已经收集整理好了,做完了之后可以来检查一下,看看自己做的对不对吧,不要照抄答案哦!青岛出版社2020单元自测试卷四年级英语上册
青岛出版社练习册答案