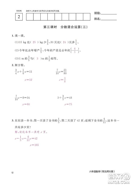
2020数学作业本六年级上册北师大版的答案小编已经收集整理好了,做完了之后可以来检查一下,看看自己做的对不对,不要直接照抄答案哦,其他学科的和其他年级的直接站内搜书名吧!

答案如下,仅供参考!














































江西教育出版社2020语文作业本六年级语文上册人教版答案
2020-09-28 09:36:00
2020语文作业本六年级语文上册人教版的答案小编已经收集整理好了,做完了之后可以来检查一下,看看自己做的对不对,这个系列的还有其他学科的哦,直接站内搜书名吧!江西教育出版社20
江西教育出版社2020数学作业本人教版七年级上册答案
2020-09-26 13:53:05
2020数学作业本人教版七年级上册的答案小编已经收集整理好了,做完了之后可以来检查一下,看看自己做的对不对,不要直接照抄答案哦,其他学科的和其他年级的直接站内搜书名好了!江西
江西教育出版社2020语文作业本人教版七年级上册答案
2020-09-26 13:34:33
2020语文作业本人教版七年级上册的答案小编已经收集整理好了,做完了之后可以来检查一下,看看自己做的对不对,不要直接照抄答案哦,其他学科的和其他年级的直接站内搜一下就好了!江
新世纪出版社2020导与练系列图书练案课时作业本七年级道德与法治上册答案
2020-09-22 17:25:52
2020导与练系列图书练案课时作业本七年级道德与法治上册的答案小编已经收集整理好了,做完了之后可以来检查一下,看看自己做的对不对吧,这个系列的还有其他学科的哦,直接站内搜书
江西教育出版社系列答案