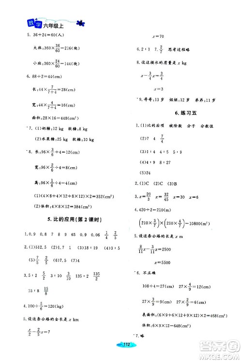
北京师范大学出版社2020秋课堂精练六年级数学上册北师大版四川专版答案小编已经收集整理好了,练习完就来核对一下吧!

本书系列的其他年级科目的答案小编也有整理,大家可以根据自己的需要直接在对应的年级搜索即可






















北京师范大学出版社2020年课堂精练数学九年级上册北师大版答案
2020-09-22 08:27:01
北京师范大学出版社2020年课堂精练数学九年级上册北师大版答案小编已经整理好了,需要核对答案的伙伴可以来看看北京师范大学出版社2020年课堂精练数学九年级上册北师大版答案
北京师范大学出版社2020秋课堂精练六年级数学上册北师版答案
2020-09-17 18:41:42
北京师范大学出版社2020秋课堂精练六年级数学上册北师版答案已经分享给大家,更新到的是数学学科北师版的答案,做完习题可以来对对答案,有做错的题目及时修改,答案如下,仅供参考。
2020年课堂精练数学七年级上册北师大版答案
2020-09-10 13:30:15
2020年课堂精练数学七年级上册北师大版答案小编已经收集整理好了,需要核对参考的伙伴注意查看哦!2020年课堂精练数学七年级上册北师大版答案ISBN9787303247783本书系列其他年
2020春课堂精练九年级数学下册北师版福建专版答案
2020-04-22 16:12:24
2020春课堂精练九年级数学下册北师版福建专版答案已经和同学们分享了,课堂精练系列答案小编已经整理了很多,各个年级学科的答案小编都有更新,答案如下。2020春课堂精练九年级数