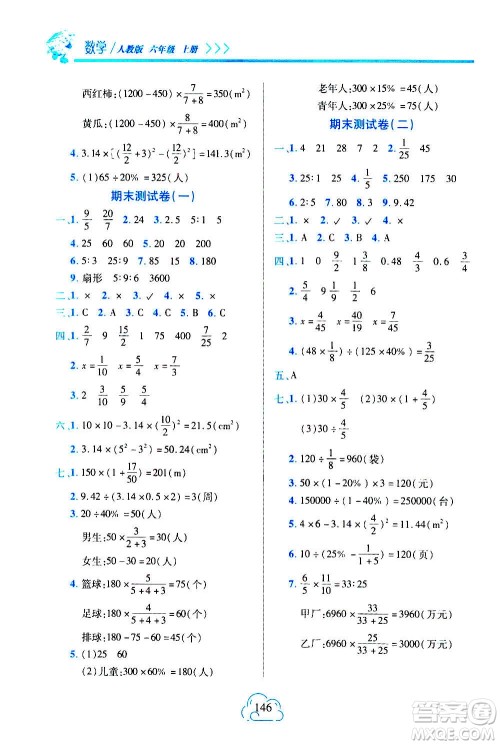
二十一世纪出版社2020年新课程新练习数学六年级上册人教版A版参考答案小编已经收集整理好了,练习完就来核对一下吧!

本书系列的其他年级科目的答案小编也有整理,大家可以根据自己的需要直接在对应的年级搜索即可
















二十一世纪出版社2020年新课程新练习语文六年级上册统编版参考答案
2020-09-16 09:17:17
二十一世纪出版社2020年新课程新练习语文六年级上册统编版参考答案小编已经整理好发布在答案圈了,感兴趣的来看看吧!二十一世纪出版社2020年新课程新练习语文六年级上册统编版
十一世纪出版社2020年新课程新练习五年级数学上册人教版答案
2020-09-15 09:06:04
十一世纪出版社2020年新课程新练习五年级数学上册人教版答案已经分享给同学们,更新到的是数学学科人教版的答案,五年级的同学们做完作业可以来对对答案,答案如下,仅供参考。十一
2019年新课程新练习英语九年级全一册人教版参考答案
2019-11-02 09:38:36
2019年新课程新练习英语九年级全一册人教版参考答案小编已经收集整理好了,练习完就来核对一下吧!2019年新课程新练习英语九年级全一册人教版参考答案本书系列的其他年级和科目
2019年新课程新练习化学九年级全一册人教版参考答案
2019-11-02 09:29:30
2019年新课程新练习化学九年级全一册人教版参考答案小编已经收集整理好了,练习完就来核对一下吧!2019年新课程新练习化学九年级全一册人教版参考答案本书系列的其他年级和科目
新课程新练习小学系列答案