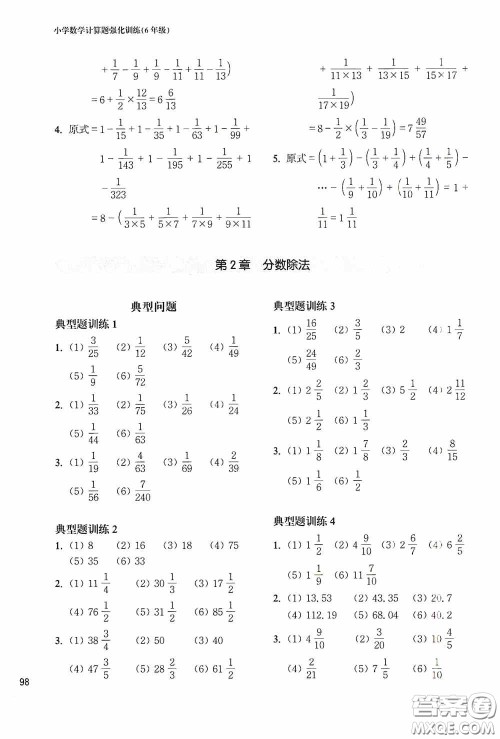
2020周计划小学数学计算题强化训练六年级的答案小编已经收集整理好了,这个系列的还有其他学科的哦,直接站内搜书名吧!不要照抄答案哦!

答案如下,仅供参考!


















华东理工大学出版社2020周计划语文阅读强化训练100篇六年级小升初答案
2020-09-18 17:17:07
2020周计划语文阅读强化训练100篇六年级小升初的答案小编收集整理如下,做完了这本练习册之后可以来看看哦,其他学科的也有收集整理,直接站内搜书名就好了!华东理工大学出版社202
华东理工大学出版社2020周计划英语阅读强化训练六年级小升初答案
2020-09-18 17:14:11
2020周计划英语阅读强化训练六年级小升初的答案小编已经收集整理好了,做完了之后可以来看看,这个系列的还有其他学科的哦,周计划还是蛮多人都在用的,不要照抄答案哦!华东理工大学
老蔡帮2020小学语文主题阅读周计划六年级最新修订版答案
2020-09-18 16:51:42
2020小学语文主题阅读周计划六年级最新修订版的答案小编已经收集整理好了,做完了之后可以来检查一下,看看自己做的对不对,这个系列的还有其他学科的哦,不要照抄答案!老蔡帮2020小
华东理工大学出版社2020周计划小学数学应用题强化训练五年级答案
2020-09-18 16:47:14
2020周计划小学数学应用题强化训练五年级的答案小编已经收集整理好了,做完了之后可以来检查一下,看看自己做的对不对,不要直接照抄答案哦,其他学科的和其他年级的直接站内搜书名