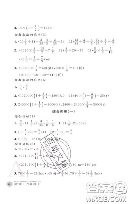
2020春课堂练习册六年级数学上册A版的答案小编已经收集整理好了,做完了之后可以来检查一下,看看自己做的对不对,不要直接照抄答案哦!

答案如下,仅供参考!
















陕西师范大学出版社2020春课堂练习册五年级数学上册C版答案
2020-09-01 16:13:01
小编这次收集整理的是2020春课堂练习册五年级数学上册C版的答案,使用这本练习册的可以来检查一下,看看自己做的对不对,不要直接照抄答案哦!陕西师范大学出版社2020春课堂练习册
陕西师范大学出版社2020春课堂练习册五年级数学上册A版答案
2020-09-01 15:51:19
2020春课堂练习册五年级数学上册A版的答案小编已经收集整理好了,做完了之后可以来检查一下,看看自己做的对不对,不要直接照抄答案哦,其他学科的和其他年级的直接站内搜书名吧!陕
陕西师范大学出版社2020春课堂练习册四年级数学上册C版答案
2020-09-01 15:42:25
2020春课堂练习册四年级数学上册C版的答案小编已经收集整理好了,做完了之后可以来检查一下,看看自己做的对不对,不要直接照抄答案哦!陕西师范大学出版社2020春课堂练习册四年级
陕西师范大学出版社2020春课堂练习册四年级语文上册A版答案
2020-09-01 15:34:36
2020春课堂练习册四年级语文上册A版的答案小编已经收集整理好了,做完了之后可以来检查一下,看看这个做的对不对吧,这个系列的还是非常不错的哦!陕西师范大学出版社2020春课堂练