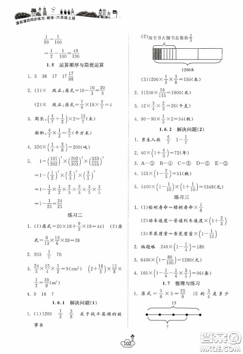
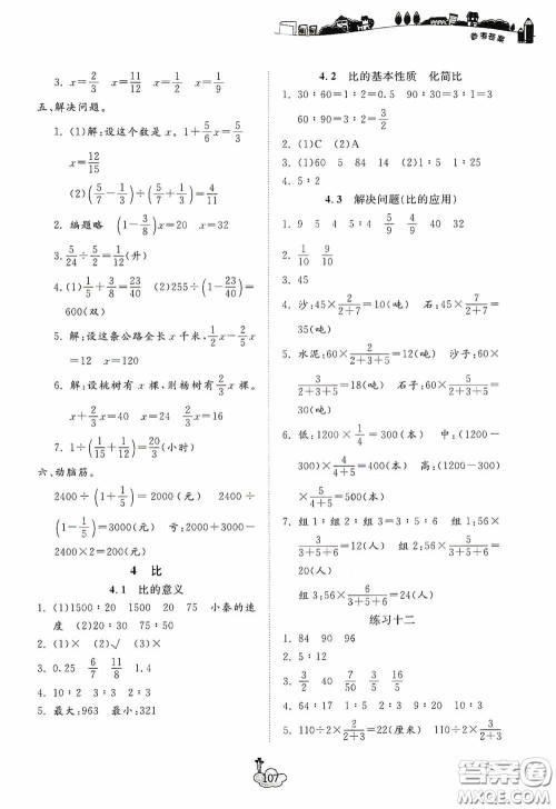
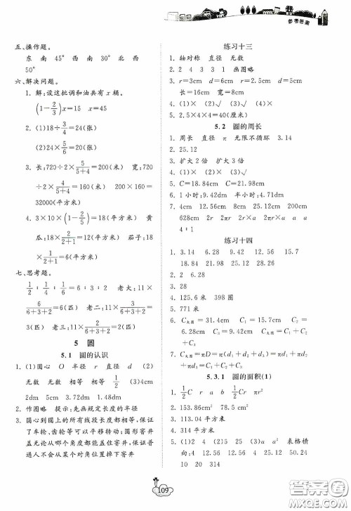
2020课前课后同步练习数学六年级上册人教版的答案小编已经收集整理好了,做完了之后可以来检查一下,看看自己做的对不对,不要直接照抄答案哦,其他学科的和其他年级的直接站内搜书名吧!

答案如下,仅供参考!














宁波出版社2020课前课后同步练习数学三年级上册人教版答案
2020-08-14 14:18:16
2020课前课后同步练习数学三年级上册人教版的答案小编已经收集整理好了,做完了之后可以来检查一下,看看自己做的对不对,不要直接照抄答案哦,其他学科的和其他年级的直接站内搜书
宁波出版社2020课前课后同步练习数学四年级上册人教版答案
2020-08-14 14:15:39
2020课前课后同步练习数学四年级上册人教版的答案小编已经收集整理好了,做完了之后可以来检查一下啊,看看自己做的对不对,不要直接照抄答案哦!宁波出版社2020课前课后同步练习数
宁波出版社2020课前课后同步练习小学语文三年级上册答案
2020-08-14 13:50:16
2020课前课后同步练习小学语文三年级上册的答案小编已经收集整理好了,做完了之后可以来检查一下,看看自己做的对不对,不要直接照抄答案哦!宁波出版社2020课前课后同步练习小学语
2018课前课后同步练习二年级数学上册人教版参考答案
2018-08-23 17:47:08
2018课前课后同步练习二年级数学上册人教版参考答案,同步课堂随时随地巩固提高,感兴趣的来答案圈看看2018课前课后同步练习二年级数学上册人教版参考答案2018年7月宁波出版社