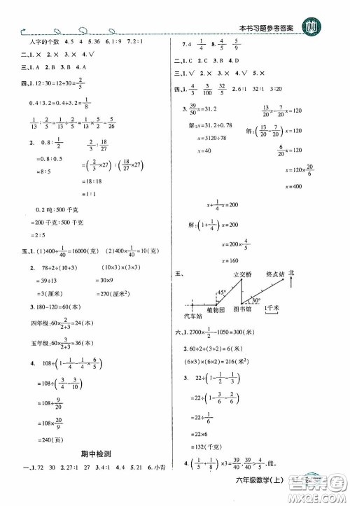
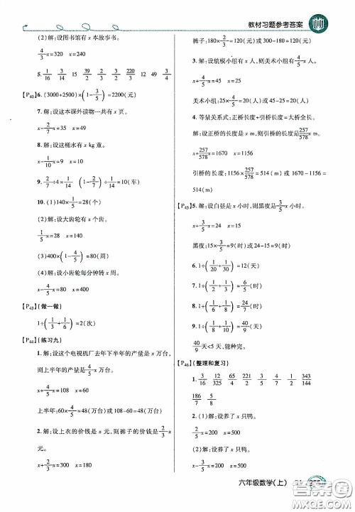
2020万向思维倍速学习法六年级数学上册人教版的答案小编已经收集整理好了,做完了之后可以来检查一下,看看自己做的对不对,这个系列的小编也有收集整理,直接站内搜书名吧!

答案如下,仅供参考!

































开明出版社2020万向思维倍速学习法六年级英语上册PEP人教版答案
2020-08-14 10:18:14
2020万向思维倍速学习法六年级英语上册PEP人教版的答案小编已经收集整理好了,做完了之后可以来检查一下,看看自己做的对不对,不要直接照抄答案哦,其他学科的和其他年级的直接站
开明出版社2020万向思维倍速学习法五年级英语上册人教PEP版答案
2020-08-14 10:14:22
2020万向思维倍速学习法五年级英语上册人教PEP版的答案小编已经收集整理好了,做完了之后可以来检查一下,看看自己做的对不对,不要直接照抄答案哦,其他学科的和其他年级的直接站
开明出版社2020万向思维倍速学习法五年级数学上册人教版答案
2020-08-14 10:08:22
2020万向思维倍速学习法五年级数学上册人教版的答案小编已经收集整理好了,做完了之后可以来检查一下,看看自己做的对不对,不要直接照抄答案哦,其他学科的和其他年级的直接站内搜
开明出版社2020万向思维倍速学习法五年级数学上册北师大版答案
2020-08-14 09:53:37
2020万向思维倍速学习法五年级数学上册北师大版的答案小编已经收集整理好了,做完了之后可以来检查一下,看看自己做的对不对,不要直接照抄答案哦,其他学科的和其他年级的直接站内
2021倍速学习法上册系列答案