青岛出版社2020年小学初中衔接教程数学参考答案小编已经收集好了,感兴趣的来答案圈了解一下

本书系列的其他年级和科目的答案小编也有整理收集,大家可以根据自己的需要在对应的年级搜索查看










青岛出版社2020年小学初中衔接教程英语参考答案
2020-07-04 08:56:37
青岛出版社2020年小学初中衔接教程英语参考答案小编已经收集整理好了,需要参考的伙伴来答案圈看看青岛出版社2020年小学初中衔接教程英语参考答案本书系列的其他年级和科目的
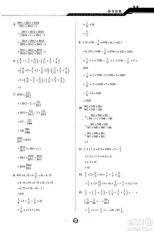
上海大学出版社2020年钟书金牌小升初衔接教材数学参考答案
2020-07-03 17:48:24
上海大学出版社2020年钟书金牌小升初衔接教材数学参考答案小编已经收集整理好了,需要参考的伙伴来答案圈看看上海大学出版社2020年钟书金牌小升初衔接教材英语参考答案本书系
青岛出版社2020年小学初中衔接教程语文参考答案
2020-07-03 14:24:54
青岛出版社2020年小学初中衔接教程语文参考答案小编已经收集好了,感兴趣的来答案圈了解一下青岛出版社2020年小学初中衔接教程语文参考答案本书系列的其他年级和科目的答案小
北京工业大学出版社2020年假期生活指导暑假七年级数学参考答案
2020-07-03 08:41:54
北京工业大学出版社2020年假期生活指导暑假七年级数学参考答案小编已经收集整理好了,感兴趣的伙伴可以来答案圈看看北京工业大学出版社2020年假期生活指导暑假七年级数学参考
青岛出版社练习册答案