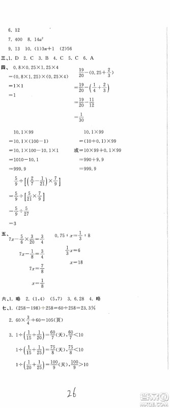
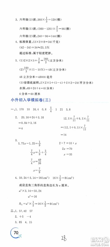
小编这次收集整理的是2020新目标检测同步单元测试卷六年级数学下册人教版的答案,使用这些练习册的可以来检查一下,看看自己做的对不对吧,不要直接照抄答案哦!

六年级数学下册人教版答案如下,仅供参考!






























北京教育出版社2020新目标检测同步单元测试卷六年级语文下册人教版答案
2020-05-27 09:49:32
新目标检测同步单元测试卷六年级语文下册人教版的答案小编已经收集整理好了,做完了之后可以来检查一下,看看自己做的对不对,不要直接照抄答案哦!北京教育出版社2020新目标检测同
北京教育出版社2020新目标检测同步单元测试卷七年级数学下册人教版答案
2020-05-27 09:36:05
小编这次收集整理的是2020新目标检测同步单元测试卷七年级数学下册人教版的答案,使用这本练习册的可以来检查一下,看看自己做的对不对吧,不要直接照抄答案哦!北京教育出版社2020
北京教育出版社2020新目标检测同步单元测试卷七年级英语下册人教版答案
2020-05-27 09:23:17
小编这次收集整理的是2020新目标检测同步单元测试卷七年级英语下册人教版的答案,做完了之后可以来检查一下,看看自己做的对不对,不要直接照抄答案哦!北京教育出版社2020新目标检
北京教育出版社2020新目标检测同步单元测试卷八年级数学下册人教版答案
2020-05-27 09:12:00
北京教育出版社出版的2020新目标检测同步单元测试卷八年级数学下册人教版的答案小编已经收集整理好了,做完了之后可以来检查一下,看看自己做的对不对吧!北京教育出版社2020新目