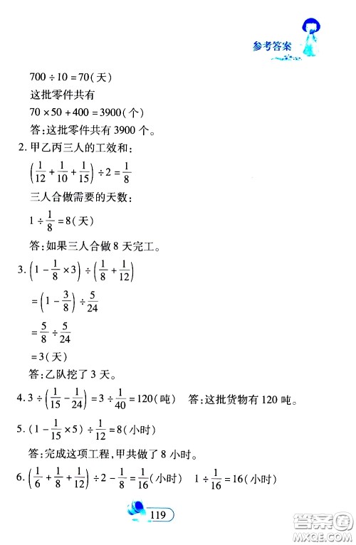
二十一世纪出版社2020年数学新思维六年级下册参考答案小编已经整理在答案圈,练习完的伙伴可以来核对看看哦!

本书系列的其他年级和科目的答案小编也有整理,需要的伙伴可以直接在答案圈对应的年级搜索查看






















二十一世纪出版社2020年数学新思维九年级下册参考答案
2020-05-07 18:40:39
二十一世纪出版社2020年数学新思维九年级下册参考答案小编已经整理在答案圈,练习完的伙伴可以来核对看看哦!二十一世纪出版社2020年数学新思维九年级下册参考答案本书系列的
二十一世纪出版社2020年数学新思维八年级下册参考答案
2020-05-07 18:03:07
二十一世纪出版社2020年数学新思维八年级下册参考答案小编已经整理在答案圈,练习完的伙伴可以来核对看看哦!二十一世纪出版社2020年数学新思维八年级下册参考答案本书系列的
二十一世纪出版社2020年数学新思维七年级下册参考答案
2020-05-07 17:49:36
二十一世纪出版社2020年数学新思维七年级下册参考答案小编已经整理在答案圈,练习完的伙伴可以来核对看看哦!二十一世纪出版社2020年数学新思维七年级下册参考答案本书系列的
二十一世纪出版社2020年数学新思维五年级下册参考答案
2020-05-07 17:31:05
二十一世纪出版社2020年数学新思维五年级下册参考答案小编已经整理在答案圈,练习完的伙伴可以来核对看看哦!二十一世纪出版社2020年数学新思维五年级下册参考答案本书系列的