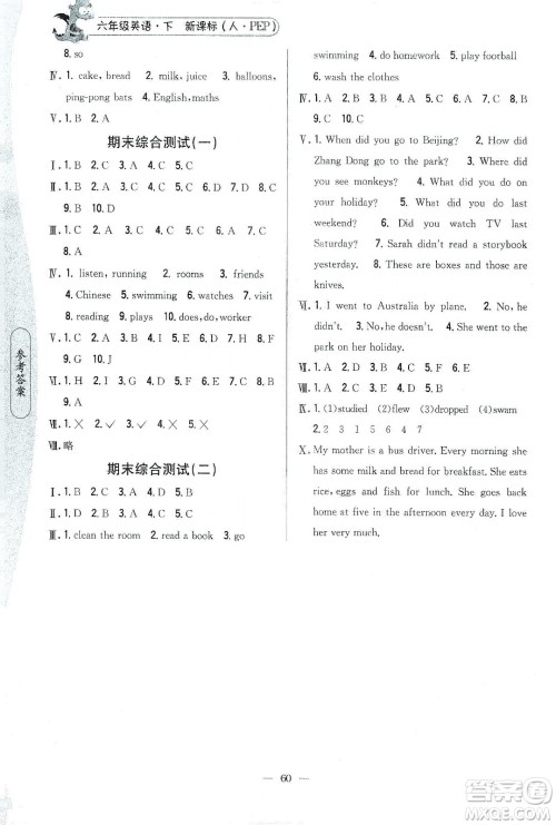
吉林人民出版社出版的课时作业本六年级英语下册新课标人教PEP版的答案已经整理好了, 做完了的可以来答案圈看看,了解一下自己做的对不对!

六年级英语下册新课标人教PEP答案如下,不要直接照抄哦!







东南大学出版社2020名师点拨课时作业本三年级下册数学新课标江苏版答案
2020-02-03 21:04:47
东南大学出版社出版的2020名师点拨课时作业本三年级下册数学新课标江苏版的答案整理如下,做完了的可以来答案圈看看,了解一下自己做的对不对,这个系列的作业本在江苏地区很受欢
吉林人民出版社2020课时作业本六年级英语下册新课标外研版答案
2020-02-01 10:02:11
小编这次收集整理的是吉林人民出版社出版的2020课时作业本六年级英语下册新课标外研版的答案,使用这本课时作业本的可以在做完了之后来答案圈看看,不要直接照抄哦!吉林人民出版
吉林人民出版社2020课时作业本六年级数学下册新课标人教版答案
2020-02-01 09:51:32
吉林人民出版社出版的2020课时作业本六年级数学下册新课标人教版的答案小编已经收集整理,看看自己做的对不对,当然其他学科的也有,直接搜课时作业本查找对应的学科和年级就可以
2020新课程寒假作业本九年级综合A版答案
2020-01-25 12:41:16
小编这次收集整理的是2020新课程寒假作业本九年级综合A版的答案,新课程寒假作业本系列都是非常使用山西地区的,快来看看吧,其他年级的也有收集整理哦!2020新课程寒假作业本九年
课时作业本答案