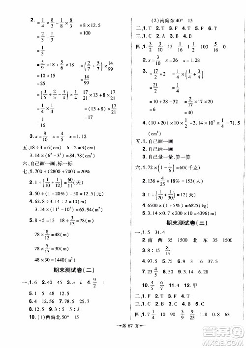
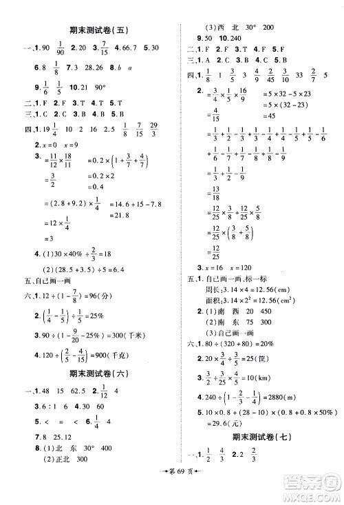
2019年魔力一卷数学六年级上册RJ版人教版参考答案小编已经整理好了,检验学生各个阶段的学习情况做好每天的查漏补缺

本书系列的其他年级和科目的答案小编也有整理,需要核对参考的伙伴直接在答案圈对应的年级搜索即可查看








2019年魔力一卷英语九年级全一册RJ版人教版参考答案
2019-12-14 11:46:20
2019年魔力一卷英语九年级全一册RJ版人教版参考答案小编已经整理好了,做好每个阶段的学习巩固,更好的掌握所学知识,小伙伴们练习完快乐核对一下答案吧2019年魔力一卷英语九年级
2019年魔力一卷数学九年级全一册RJ版人教版参考答案
2019-12-14 11:46:10
2019年魔力一卷数学九年级全一册RJ版人教版参考答案小编已经整理好了,做好每个阶段的学习巩固,更好的掌握所学知识,小伙伴们练习完快乐核对一下答案吧2019年魔力一卷数学九年级
2019年魔力一卷物理九年级全一册HY沪粤版参考答案
2019-12-14 11:45:56
2019年魔力一卷物理九年级全一册HY沪粤版参考答案小编已经整理好了,做好每个阶段的学习巩固,更好的掌握所学知识,小伙伴们练习完快乐核对一下答案吧2019年魔力一卷物理九年级全
2019年魔力一卷语文九年级全一册RJ版人教版参考答案
2019-12-14 11:45:46
2019年魔力一卷语文九年级全一册RJ版人教版参考答案小编已经整理好了,做好每个阶段的学习巩固,更好的掌握所学知识,小伙伴们练习完快乐核对一下答案吧2019年魔力一卷语文九年级