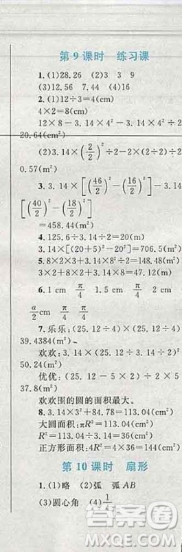
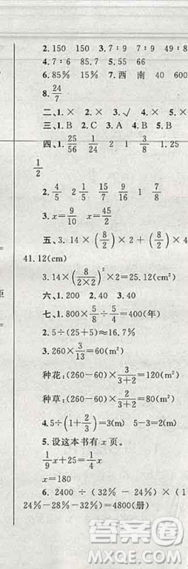
2019年小学同步考优化设计小超人作业本六年级数学上册人教版答案最新版本的答案已经更新在答案圈了,大家如果需要其他版本的答案可以前往答案圈搜索哦,小编都有更新,部分题目解题方法不唯一,答案仅供参考。

ISBN:9787510640704,书名:小学同步考优化设计小超人作业本六年级数学,版本:人教版,出版社名称:现代教育出版社
















































2019年小学同步考优化设计小超人作业本六年级数学上册北师版答案
2019-12-07 10:27:30
今天在答案圈更新到的是2019年小学同步考优化设计小超人作业本六年级数学上册北师版答案,有需要这个版本答案的小伙伴可以看看参考参考,答案仅供参考。2019年小学同步考优化设
2019年小学同步考优化设计小超人作业本六年级语文上册人教版答案
2019-12-07 10:27:21
今天在答案圈更新到的是2019年小学同步考优化设计小超人作业本六年级语文上册人教版答案,六年级语文人教版的答案已经分享给大家,有需要其他版本答案的小朋友可以在答案圈自行
2019年小学同步考优化设计小超人作业本六年级英语上册人教版答案
2019-12-07 10:27:13
2019年小学同步考优化设计小超人作业本六年级英语上册人教版答案,六年级英语人教版的答案小编已经分享给大家,需要其他版本答案可以前往答案圈搜索查看哦。2019年小学同步考优
辽海出版社2019秋季新课程能力培养三年级数学上册人教版答案
2019-12-07 10:26:56
这次更新到的是2019秋季新课程能力培养三年级数学上册人教版答案,三年级数学人教版的答案已经分享给大家,其他版本答案大家需要的话也可以搜索查看哦。辽海出版社2019秋季新课
2019年小超人作业本系列答案