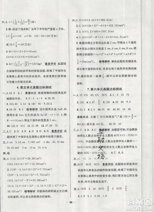
今天在答案圈更新到的是2019年北京市真题圈小学试卷真卷三步练六年级数学上册答案,已经更新在答案圈了,这次更新到的是六年级数学的部分,不过是北京专版,需要的可以看看哦。

ISBN:9787545055191,书名:北京市真题圈小学试卷真卷三步练六年级数学,版本:通用版,出版社名称:陕西人民教育出版社












2019年天津市真题圈小学试卷真卷三步练六年级英语上册答案
2019-10-28 18:17:19
2019年天津市真题圈小学试卷真卷三步练六年级英语上册答案已经更新在答案圈了,这次更新到的是六年级英语的部分,做完习题的小伙伴不妨在答案圈中搜索答案查看哦。2019年天津市
2019年天津市真题圈小学试卷真卷三步练六年级语文上册答案
2019-10-28 18:14:41
2019年天津市真题圈小学试卷真卷三步练六年级语文上册答案小编已经更新在答案圈,这次更新到的是六年级语文的部分,更多内容尽在答案圈。2019年天津市真题圈小学试卷真卷三步练
2019年天津市真题圈小学试卷真卷三步练六年级数学上册答案
2019-10-28 16:54:57
2019年天津市真题圈小学试卷真卷三步练六年级数学上册答案,真题圈小学试卷真卷三步练六年级数学天津专版的答案已经更新,尽在答案圈。2019年天津市真题圈小学试卷真卷三步练六
2019年安徽省真题圈小学试卷真卷三步练六年级语文上册答案
2019-10-28 16:26:53
2019年安徽省真题圈小学试卷真卷三步练六年级语文上册答案更新在了答案圈中,真题圈系列六年级语文的部分已经更新最新版本,需要的可以看看哦。2019年安徽省真题圈小学试卷真卷